Introducción
El crecimiento de la producción agrícola de los últimos 60 años estuvo fuertemente ligado a la expansión del área sembrada y en segunda medida, al aumento de los rendimientos. La primera fuente de expansión está cada vez más restringida por la disponibilidad de tierras aptas, con lo cual, para sostener el crecimiento en la producción de alimentos, vamos a tener que aumentar los rendimientos y eso supone lograr una mayor eficiencia en los procesos productivos. En este contexto surge la necesidad de optimizar el manejo de la tecnología de producción y eso supone reconocer las diferencias que existen en los ambientes productivos y diferenciar la tecnología cuando las respuestas a esta difieren.
En los últimos años, con el surgimiento de la tecnología de posicionamiento global (GPS) y el perfeccionamiento de los equipos disponibles, esta idea de una estrategia diferente para un ambiente diferente se orientó a la variación de la tecnología en espacios reducidos (microambiente) basados en información proveniente de mapas de rendimiento, pero muchas veces sin estudiar las fuentes que generaban esa heterogeneidad. Estás aplicaciones estuvieron más traccionadas por el desarrollo de tecnologías duras que por la agronomía en si, y se dejaron en segundo lugar, decisiones de gran impacto como la diferenciación de rotaciones y estrategia de cultivo (fecha de siembra, estructura, y genética) que solo son aplicables a unidades de manejo mayores (lotes o sectores de lotes -macroambiente-).
La agricultura por ambientes busca mejorar la eficiencia en el uso de los insumos, mejorar el resultado económico y disminuir los impactos que suponen el uso de tecnología incorrecta en un determinado sitio. Pero es muy importante tener en claro que para manejar diferencialmente ambientes es necesario reconocer cuales son los factores (distintos según zona) que determinan diferencias de productividad y de respuestas a la tecnología y luego estudiar cual es la estrategia apropiada para cada caso y a que escala es conveniente trabajar. En el establecimiento de procesos se consideran distintas escalas de decisión, como lote, ambiente y microambiente, entendiendo que la complejidad aumenta y el impacto económico marginal disminuye a medida que vamos entrando a menor escala y mayor detalle. Se debe recordar que a medida que se aumenta la escala de producción, hay que focalizarse en aspectos sencillos de impacto y que sean operativos, si bien hay que estar en el detalle uno no se puede perder en el detalle. Hay que armar paquetes de tecnología que sean fácilmente adaptables a cada situación. Por esta razón, las medidas que se toman deben ir desde lo macro a lo micro, deben ser de fácil implementación y deben ayudar en la operatividad del sistema productivo.
Definición de ambientes productivos
Los suelos de la pampa húmeda argentina presentan diferencias muy marcadas en cuanto a sus propiedades físicas y químicas, como así también respecto a las precipitaciones que ocurren anualmente. Por esta razón, consideramos que para ser eficientes en el manejo de los recursos y producir a gran escala, es necesario caracterizar ambientes dentro de un lote o establecimiento. La ambientación es un proceso de simplificación de la variabilidad productiva existente en un lote, establecimiento o región. La delimitación de estos ambientes consiste en dividir el lote en subunidades homogéneas en base a características que son estables en el tiempo, otras que son dinámicas y otras cambian con el tiempo y manejo. Dentro de cada una de estas características tenemos:
- Características estables: elevación/topografía, contenido de materia orgánica, pH, conductividad eléctrica, textura del suelo, condición de drenaje, profundidad de un thapto, etc.
- Características dinámicas: datos de monitores de rendimiento, contenido de humedad del suelo, salinidad, desarrollo de biomasa, densidad de malezas, compactación, presencia de napa, etc.
- Características históricas o manejo: conocimiento del productor de la productividad general de lote, rotaciones previas, antiguos alambrados o límites del lote, ubicación de piquetes, engordes a corral, años de siembra directa, presencia de cobertura, pastoreos, etc.
Teniendo en cuenta esto se debe definir el número de ambientes en los cuales se quiere simplificar el sistema para poder llevarlo a escala y poder manejarlos de forma independiente unos de otros. En nuestro sistema de escala, definimos tres ambientes productivos muy contrastantes entre ellos. A esos ambientes diferentes los llamamos “macro-ambientes” y les atribuimos diferentes “productividades” que pueden variar 10 a 20% entre ellos. De esta manera, definimos “macro-ambiente A”: los que son de alta producción y no tienen limitantes para expresar la potencialidad climática de esa región; “macro-ambiente B”: aquellos que presentan algunas limitaciones y poseen una productividad media; y “macro-ambiente C”: los que son de baja productividad y con fuertes limitantes.
A modo de ejemplo, en el oeste bonaerense, la variabilidad más pronunciada ocurre según la topografía del terreno donde los rendimientos son menores en las lomas arenosas que en los bajos. Esto se ilustra con datos de 5 campañas de trigo, maíz, girasol y soja en los alrededores de Trenque Lauquen (Figura 1). Los rendimientos más altos ocurrieron hacia los sectores bajos (Alta Productividad), y la respuesta a nutrientes como N y P se incrementa desde las partes altas hacia los bajos.

Proceso de ambientación
En primer lugar hay que identificar zonas climática y edafológicamente similares donde las características ambientales varían de forma sistemática. Por ejemplo, Litoral, norte de Bs. As., oeste de Bs. As., sur de Santa Fe, etc. La segunda etapa es identificar para cada una de estas grandes zonas características ambientales que varían en forma dinámica (régimen hídrico, presencia de napa, etc.). Una vez establecidas estas áreas, se determinan las variables y los valores de referencia que van a caracterizar a un macro- ambientes A, un macro-ambiente B y un macro-ambiente C. La Tabla 1 brinda un ejemplo de cómo son las definiciones de macro ambientes para la zona centro de Bs. As, y cómo quedan delimitadas las áreas dentro de un lote.
Partiendo de esta base, el proceso de ambientación de un establecimiento o lote se basa en cuatro etapas:
Etapa 1: Planteo de hipótesis donde existen diferentes ambientes productivos.
Esta etapa se realiza en gabinete y el objetivo es hacer una delimitación y creación de un mapa preliminar de los posibles ambientes productivos. Éste se construye mediante la integración y gestión de información georeferenciada disponible, tal como mapas de rendimiento, topografía, cartas de suelo, altimetría, imágenes satelitales, mapa de profundidad de tosca o thapto, profundidad de la napa, imágenes de índice verde, etc. Cabe aclarar que las capas de información utilizadas para ambientar un campo en una determinada zona geográfica pueden ser (y de hecho lo son) distintas para ambientar otros campos con distinta ubicación geográfica ya que no toda la variabilidad se explica y distribuye de la misma manera. Por ejemplo, en el oeste bonaerense la topografía juega un rol muy importante en la caracterización de los ambientes, mientras que en el centro bonaerense la profundidad a la que se encuentra el thapto es la variable que explica la mayor diferencia entre ambientes.
Etapa 2: Validación a campo.
Se caracterizan las variables según la definición de ambientes que corresponda para esa zona, mediante muestreos de suelo dirigidos y ubicando puntos al azar dentro del ambiente (Figura 2). También se ajustan los límites determinados en la etapa 1.
Etapa 3: Obtención del mapa definitivo de ambientes
Con la información obtenida de los muestreos y caracterizaciones realizadas a campo se rectifican, en caso de ser necesario, los límites o la clasificación asignada para esa área (Figura 3).
Etapa 4: Retro-alimentación
A medida que se aumenta el número de campañas de cultivos para un determinado lote y con la acumulación de nuevas capas de información (nuevos mapas de rendimientos) se realimenta el mapa de ambientes aumentando la precisión en la información obtenida.

Figura 2. Valores medios de % de arena, % materia orgánica (MO), fósforo (P) para diferentes ambientes.
Muestreo de suelos para N y P con manejo de sitio-especifico
Se pueden utilizar diferentes esquemas de muestreo de suelos para un lote y no existe un único método de muestreo que sea superior a otro para describir la variabilidad de N y P de una forma costo-efectiva en todas las condiciones. En nuestro sistema de producción de gran escala, realizamos un muestreo dirigido por ambientes, que reconoce factores cuantitativos, cualitativos e históricos que pueden predecir la variabilidad (ver definición de ambientes productivos). Cada macro-ambiente se muestrea por separado y se realizan tantos muestreos como macro-ambientes haya dentro de un lote. Estos muestreos se realizan 20 días antes de la siembra y las muestras se envían al laboratorio para un análisis de rutina que incluye tanto N como P.
Dentro de cada macro-ambiente hay un punto georeferenciado, si es menor a 25-has, o dos puntos por macro-ambiente si son mas de 25-has (Figura 3). Se muestrea 50-mts a la redonda del punto, tomando un mínimo de 15 submuestras de las distintas profundidades requeridas (0-20 cm, 20-40 cm y 40-60 cm). Se evitan siempre las líneas de cultivos detectables, ya que distorsionan los resultados de los análisis. Mallarino (1999) mostró que cuando se toman solamente 5 submuestras en un lote, el resultado del análisis estará en un rango de +/- 9 ppm respecto al verdadero valor del lote, por lo tanto no es aceptable para realizar recomendaciones de fertilización. En cambio, cuando se recolectan 20 submuestras, el intervalo de confianza se reduce a +/- 1,5 ppm, lo cual representa un grado de precisión razonable. Con este muestreo se trata de mantener la consistencia a través de espacio y tiempo.

Criterios de fertilización usados para P
Dentro de nuestro sistema de producción no se tiene duda acerca del uso y utilidad de los análisis de suelo para N y P, y éstos son la herramienta fundamental para el manejo de sitio-específico de estos nutrientes. Las interpretaciones de estos análisis de suelo se basan en calibraciones existentes para diferentes zonas de la pampa húmeda realizadas por diferentes investigadores y organismos de investigación.
En términos generales, las recomendaciones de P se pueden agrupar de 2 maneras:
- criterio de “nivel de suficiencia”: establece que hay un nivel de nutriente por debajo del cual hay respuesta a la fertilización, cada nutriente tiene su nivel de suficiencia y se fertiliza cada cultivo con la dosis óptima para cada nivel inicial de cada nutriente.
- criterio de “subir y mantener”: establece que si el nivel de nutriente disponible en el suelo está por debajo del nivel óptimo se debe fertilizar no sólo para alcanzar el máximo rendimiento del cultivo sino además para subir el nivel del suelo hasta el óptimo para luego mantenerse con fertilizaciones periódicas. Este criterio se puede aplicar a P pero no a N.
Teniendo en cuenta esto, queda claro que una de las claves en la toma de decisión sobre qué filosofía de fertilización usar, es la tenencia o no de tierra. La tenencia de tierra estable, brinda mayor flexibilidad al sistema y sobre todo al manejo de nutriente inmóvil como P, ya que puede usar una filosofía de manejo a largo plazo. Por ejemplo:
- podemos apuntar a lograr el máximo retorno a la producción a largo plazo,
- se puede fertilizar a la rotación con aplicaciones antes del cultivo más exigente y espaciadas en el tiempo,
- se puede ahorrar en costos de aplicación y logística del insumo,
- a los suelos con grandes deficiencias se los puede corregir con varios años de aplicaciones,
- en suelos con poca “fijación” elevadas aplicaciones de P en un año puede no ser un exceso y usarse como carry-over para el año siguiente,
- se pueden elegir diferentes fuentes de fertilizante y época en la que se aplica,
- un exceso en un año o una sequía que limita el rendimiento no significa dinero desperdiciado necesariamente
Estas razones hacen que en general haya menores riesgos en la pérdida de producción. Ahora bien, la no tenencia de tierra o tenencia inestable genera tener un manejo más cuidadoso. Generalmente se debe ser más conservador, y en algunos casos manejarse a bajos niveles de nutriente y fertilización sub-óptima puede tener sentido. En esta situación se prioriza el beneficio por Kg. de nutriente aplicado y no necesariamente se busca lograr el máximo retorno neto. El principal problema de esta estrategia es que si se limita el rendimiento por falta de P también se limita el retorno a costos fijos y otros insumos cada vez más caros, y por consiguiente se pone en riesgo todo el sistema.
Una de las tendencias de los últimos años de la Argentina es la producción de granos en tierras de terceros (sistema de arrendamiento). Por lo anteriormente dicho, este sistema de producción indefectiblemente hace necesario plantear estrategias de fertilización acorde a las variables económicas de cada año en particular pero a su vez sustentables en el tiempo. Es por eso que en un sistema de producción como el nuestro, donde una alta proporción de la producción se hace en tierra de terceros, se busquen alternativas para cuidar el recurso suelo pero a la vez sean rentables. Una de las alternativas más viables es la de poder contar con el recurso tierra por períodos mayores a 3 años y así suavizar los vaivenes anuales. De esta manera, se podrían armar estrategias como fertilizar la rotación (con aplicaciones antes del cultivo más exigente) o fertilizaciones más altas en aquellos años donde el costo del fertilizantes sea menor, o espaciar fertilizaciones en aquellos años donde la relación insumo/producto sea desfavorable. Aunque año tras años esto resulta más difícil conseguir (ya que los arrendamientos son anuales) es en este punto donde trabajamos para lograr una agricultura sustentable pero a la vez rentable en el tiempo.
Criterios de fertilización usados para N
Al igual que en P, la respuesta del cultivo de maíz y trigo a la fertilización nitrogenada varía espacialmente. El rendimiento máximo (sin limitaciones de N) es relativamente uniforme espacialmente dentro de los lotes de producción, mientras que el rendimiento sin N varía fuertemente, indicando que es el aporte de N del suelo (por la mineralización) el que determina la variabilidad de la respuesta más que el potencial de rendimiento. Esto es de fundamental importancia al momento de variar las dosis de N dentro de un lote
Los umbrales críticos de disponibilidad de N a la siembra (N-nitratos, 0-60 cm + N fertilizante) constituyen el método más difundido para determinar las necesidades de N para maíz y trigo. Estos umbrales varían según cultivo, zona, y nivel de rendimiento objetivo, y son éstos los que utilizamos para determinar las necesidades de N. A diferencia de lo que ocurre con P, la tenencia de tierra tiene poca relevancia para el manejo del N.
Una herramienta adicional y de consulta permanente que nos ayuda a tomar una mejor decisión en cuanto a la fertilización con N, es el uso del modelo de simulación Triguero y Maicero (Satorre et al., 2005). Este modelo es una alternativa de interés para incluir características específicas de suelo, manejo de cultivo y riesgo climático.
La complementación de medidas de N disponible a la siembra con indicadores que estiman la capacidad de mineralización de N (incubación anaeróbica corta, Nan) durante el ciclo del cultivo es otra herramienta que usamos para el sudeste y centro de Bs.As. Calviño et.al. (2005) determinaron que para el sudeste de Buenos Aires con un umbral de 48 ppm de N mineralizado durante una incubación de 7 días a 40° C, se separan sitios de alta (Nan < 48 ppm) y de baja (Nan > 48 ppm) probabilidad de respuesta a la fertilización con N. Así, en los suelos con Nan <48 ppm el umbral de N a alcanzar sería de 165 kg/ha, mientras que en sitios con Nan > 48 ppm el umbral sería de 135 kg/ha.
En base a estos análisis hemos ido basando y adaptando las recomendaciones de aplicación variable de N utilizados en pampa húmeda.
Tecnología de dosis variables (VRT) para aplicación de N y P
Nos queda claro que no se puede maximizar eficiencia manejando fertilidad para el promedio del lote y más aun cuando se quieren aplicar recetas en muchos lotes por trabajar a gran escala. Cada año es más extendido el uso de VRT en la pampa húmeda, porque a cualquier sembradora o pulverizadora resulta fácil poder equiparle un variador o controlador a un costo accesible. A su vez, en la era tecnológica que nos encontramos el grado de precisión en la distribución de los fertilizantes resulta ser cada vez mayor. El problema más complejo radica en que hay “alguien” que le debe indicar a una computadora “cuanto” fertilizante usar y “donde” lo debe aplicar. Es aquí donde consideramos que se pueden cometer grandes errores.
Para nuestro manejo, tanto para el manejo sitio-específico de N como de P, los mapas de macro-ambientes son la base de nuestra prescripción de fertilización. Y como definimos anteriormente al establecer que no tenemos más de 3 macro-ambientes de producción dentro de un mismo lote, nunca realizamos más de 3 recomendaciones (dosis) de N o P para un mismo lote. La Figura 4 ejemplifica las diferentes alternativas de manejo que utilizamos para los lotes.
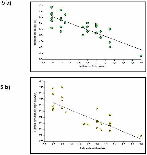
En el manejo tradicional, se trabaja al lote de acuerdo al macro-ambiente predominante y se desestiman áreas menores a 5 ha de los otros macro- ambientes. En el manejo por ambiente al encontrarse los macro-ambientes bien definidos y separados unos de otros se trabaja independiente un macro-ambiente de otro. En estos casos, cada macro-ambiente tiene su propia rotación, fecha de siembra y manejo en la fertilización. Un ejemplo de esto serían lotes que presentan loma, media loma y bajo. Y el tercer caso es el que definimos Manejo con dosis variable y se caracteriza porque hay micro-ambiente intrínseco dentro de un macro-ambiente. Para estos casos no queda otra alternativa que tener una única rotación para ese macro-ambiente pero se varían las dosis de N o P de acuerdo al rendimiento potencial. Dentro de los lotes de manejo con dosis variable la forma de evaluar su eficiencia es a través del rendimiento logrado, fertilizante aplicado, y en definitiva el costo por tonelada de grano producido para cada ambiente (Figura 5a y 5b).
El rendimiento logrado depende en gran medida de la variabilidad del lote y con una correcta ambientación se pueden segregar los rendimientos para cada ambiente en cuestión (mapa de ambiente cruzado con mapa de monitor de rendimiento).

En general y para determinado cultivos y estaciones de año, los rendimientos disminuyen a medida que el ambiente pierde productividad (Figura 5a). Si a la vez, las dosis de N y P fueron variadas de acuerdo al mapa de ambientes del lote, se puede estimar los costos de fertilización para ese determinado ambiente. La relación entre rendimiento y costo directo por ambiente (Figura 5b) nos puede ayudar a determinar el costo por tonelada producida para ese ambiente y tener un indicador de eficiencia en el uso de los recursos. A mismo cultivo, ambientes con menor aptitud productiva debieran tener un menor costo directo que ambiente de mayor productividad, adaptándole la tecnología adecuada. Con respecto a la cantidad de P o N agregado encontramos que no necesariamente en todos los ambientes de menor potencial se aplican menores cantidades de nutriente.

Figura 5. Resultado de un manejo por ambiente para diferentes lotes de trigo de la campaña 10-11. Los rendimientos (a) y costos directos (b) disminuyen a medida que el ambiente productivo empeora (van de 1,0 alta producción hacia 3,0 baja producción).
Síntesis Final
- Lo más importante en la adopción de una agricultura por ambientes, es entender al sistema, como es su funcionamiento, de nada sirve definir ambientes, si no tenemos una visión empresarial económica del sistema, ya que podemos tomar decisiones erróneas. Las tecnología disponible debe ser solo una herramienta para la actividad no un fin.
- La agricultura por ambientes es una tecnología de procesos, por lo tanto involucra un capital mucho más importante que lo material, el conocimiento.
- La adopción de la agricultura por ambientes la identificamos en 3 etapas: definición de ambientes, caracterización de los ambientes y definición de tecnología por ambientes.
- En cada ambiente se define la tecnología desde los aspectos macro a lo micro. O sea primero se definen las rotaciones por ambiente, en segundo lugar, la estrategia de cultivo (fecha de siembra, estructura, y genética), y por ultimo, la dosis de insumo en cada ambiente.
- La disponibilidad de herramientas de agricultura de precisión, como mapas de rendimiento, imágenes Landsat y equipos de aplicación variable de insumos, nos brinda la posibilidad de adecuar la decisión de fertilización a cada ambiente en particular, si es que cada uno de esos ambientes tiene un requerimiento de N o P distinto. En definitiva, el método de decisión resulta el mismo, lo que cambia es la resolución de la aplicación.
- Las aplicaciones variables se basan en un mapa de prescripción desarrollado a partir del análisis de suelo obtenido a través de un muestreo por zonas (mapa de ambientes).
- Por último, consideramos que el manejo de sitio-específico de N y P es más práctico:
- Cuando encontramos una alta variación dentro de un lote, y ésta es mayor a la micro-variación y de valores bajos a altos,
- Cuando existen grandes diferencias en rendimientos y consistentes a través del tiempo para hacer manejo por ambiente diferenciado,
- Cuando hay precios desfavorables, ya que se maximiza la eficiencia en zonas con bajos niveles de disponibilidad de nutrientes y no se fertilizan zonas con niveles altos.
Referencias
- Bermudez, M., y A. P. Mallarino. 2007. Impacts of variable-rate phosphorus fertilization based on dense grid soil sampling on soil-test phosphorus and grain yield of corn and soybean. Agron. J. 99:822-832.
- Calviño, P., H. Echeverria, H. Sainz Rosas, M. Redolatti, y P. Barbieri. 2005. Contribución de la capacidad de mineralización del suelo al diagnostico de requerimientos de nitrógeno en maíz. VII Congreso Nacional de Maíz, Rosario.
- Mallarino, A.P. 1996. Spatial variability patterns of phosphorus and potassium in no-tilled soils for two sampling scales. Soil Sc. Soc. Am. J. 60:1473-1481.
- Satorre E., F. Menendez y G. Tinghitella. 2005. El modelo Triguero: Recomendaciones de fertilización nitrogenada en trigo. Simposio Fertilidad 2005: Nutrición, Producción, Ambiente” Rosario, 27-28 Abril. INPOFOS Cono Sur-Fertilizar A.C. pp. 3-11.