INTRODUCCIÓN
El N es el nutriente que más condiciona el rendimiento y la calidad de los tubérculos en papa para industria. Para realizar un uso racional del N es necesario desarrollar métodos de diagnóstico y de monitoreo del estatus nitrogenado del cultivo. Estos métodos pueden ser tecnologías no destructivas como los sensores ópticos (Fox & Walthall, 2003). La utilización de los sensores ópticos permite realizar determinaciones en los cultivos de manera instantánea y sin restricción en el número de mediciones (Echeverría et al., 2009). El espectro de reflectancia del canopeo es la integración de la reflectancia de todas las superficies (planta y suelo), en función de las propiedades ópticas de estos elementos y al intercambio de energía dentro del canopeo. Las hojas verdes absorben gran parte de la longitud de onda visible del espectro electromagnético y reflejan o transmiten energía de las regiones de infrarrojo cercano y medio (Booij et al., 2000). Las mediciones realizadas por los sensores permiten calcular diferentes índices (Spripada et al., 2008). El más empleado es el denominado índice de vegetación diferencial normalizado (NDVI).
El NDVI tiene una relación directa con la producción de biomasa, el rendimiento de los cultivos y la cantidad total de N en planta (Raun et al., 2001; Spripada et al., 2008). La disponibilidad de N afecta los patrones de reflexión de la luz. Por lo que, el índice es menor con baja disponibilidad de N y mayor con elevada disponibilidad del mismo. Varios trabajos demostraron que, a partir del NDVI se puede predecir el rendimiento y lograr mejoras en la eficiencia de uso del N (EUN) en trigo (Raun et al., 2001; 2002 y 2004) y en maíz (Melchiori et al., 2005; Melchiori, 2007). En la Universidad de Oklahoma se ha desarrollado un algoritmo para estimar el requerimiento de N en diferentes cultivos (Raun et al., 2002; Mullen et al., 2003; Gupta, 2006). En papa no ha sido probado aún y sería un mecanismo promisorio para estimar las necesidades de N. Las evidencias permiten postular que el NDVI estima el rendimiento y la cantidad de N acumulado en los tubérculos a la cosecha.
MATERIALES Y MÉTODOS
Se realizaron ocho ensayos de fertilización nitrogenada (seis con urea granulada y dos con urea de liberación lenta de N (NSN)) durante tres campañas agrícolas a partir del 2008/9 en seis lotes de producción de papa, ubicados en Balcarce (37º45’S; 58º18’W ,130 msnm) provincia de Buenos Aires. Los ensayos con urea granulada se realizaron en todos los lotes y los ensayos con NSN sólo en dos lotes (Lote 4 y Lote 5). El suelo en todos los casos fue Argiudol típico sin limitaciones en su capacidad de uso (USDA soil taxonomy classification 2008). La Tabla 1 muestra algunas características de los suelos previos a la plantación y datos del manejo durante el ciclo del cultivo. Se utilizó un diseño en bloques completos y aleatorizados con arreglo en parcela dividida y tres repeticiones con la variedad de papa Innovator. La parcela principal fue la dosis de N en plantación (0 y 50 kg ha-1) y la subparcela
la dosis de N en tuberización (0, 50 y 100 kg ha-1).
Por lo que, se evaluaron 6 tratamientos combinando dosis y momento de aplicación: 0-0, 0-50, 0-100, 50-0, 50-50 y 50-100 (el primer valor corresponde al N aplicado en plantación y el segundo en tuberización). Se regó a partir del momento crítico (45-50 ddp) para asegurar el suministro hídrico adecuado al cultivo. El control de enfermedades e insectos se realizó mediante aplicaciones de productos específicos y el control de malezas se llevó a cabo mediante métodos químicos y mecánicos.


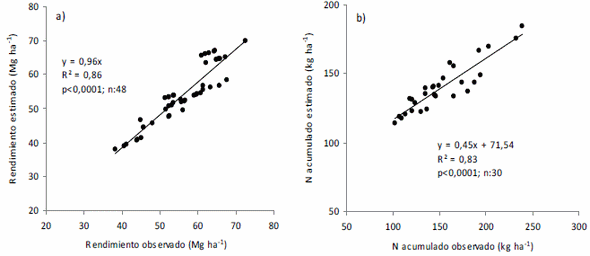
Al relacionar el RE con el RO se determinó una estrecha relación lineal (p<0,0001) entre las variables (Figura 1a). Los valores obtenidos de la pendiente de la ecuación lineal (0,96) y del coeficiente de determinación (R2=0,86) permiten concluir que es posible predecir el rendimiento del cultivo a partir de las lecturas del NDVI con precisión. El NO promedio fue 152±36 kg ha-1 y el NE a partir del NVDI fue 140±17 kg ha-1. El NE aumentó en forma lineal (p<0,0001) con el NO (Figura 1b). Los coeficientes de la regresión lineal muestran que no hay una relación uno a uno entre las variables (NE y NO) como en el caso anterior. Sin embargo, el coeficiente de determinación (R2=0,83) indica que el modelo de regresión lineal también predice la cantidad de NE. Estos resultados confirman la aplicación práctica de los sensores ópticos para caracterizar el estatus de N en los cultivos.

Figura 1: a) Relación entre el rendimiento estimado (RE) a partir del NDVI y el rendimiento observado (RO) de las campañas agrícolas 2008/09 a 2010/11; b) relación entre la cantidad de N acumulado en los tubérculos estimado (NE) a partir del NDVI y la cantidad de N acumulado en los tubérculos (NO) de las campañas agrícolas 2008/09 a 2009/10.
CONCLUSIÓN
Los resultados obtenidos permiten concluir que el NDVI medido durante el llenado de tubérculos (84 ddp) en papa estimó el rendimiento y la cantidad de N acumulado en los tubérculos a cosecha. No obstante, en necesario continuar los trabajos, con la finalidad de validar estos resultados.
AGRADECIMIENTOS
Este trabajo presenta los resultados parciales del Trabajo de Tesis de Doctorado (Universidad Nacional de Mar del Plata) de la Ing. Agr. Claudia Giletto. Este trabajo fue financiado con fondos del proyecto de investigación de la Universidad Nacional de Mar del Plata Nº AGR 329/10 e INTA AERN 295561.
BIBLIOGRAFÍA
- Booij, R; JL Valenzuela & C Aguilera. 2000. Determination of crop nitrogen status using non- invasive methods. In: Haverkort, A.J.; Mackerron, D.K.L. Management of nitrogen and water in potato production. Wageningen, The Netherlands. pp.72-81
- Echeverría HE; N Reussi Calvo & F García. 2009. Mejores prácticas de manejo para nitrógeno: Un camino para mejorar la eficiencia de uso en los cultivos. Simposio Fertilidad. IPNI Cono Sur 25-34.
- Fox, RH & CL Walthall. Crop Monitoring Technologies to Assess Nitrogen Status. In Nitrogen in agricultural systems. Agron. Monogr. 49. ASA, CSSA, and SSSA, Madison, WI 647-674.
- GIianquinto, G & S BONA. 2000. The significance of trends in concentrations of total nitrogen and nitrogenous compounds. In: Haverkort, A.J.; Mackerron, D.K.L. (eds.) Management of nitrogen and water in potato production.
- Wageningen, The Netherlands. pp. 35-53.
- Gupta, R. 2006. Crop canopy sensors for Efficient Nitrogen management in the Indo-Gangetic plañís. Progress Report. The Rice-Wheat Consortium, New Delhi. International Maize and Wheat Improvement Center (CIMMYT), Mexico USDA Funded Project. 28 p.
- Jhonson, GV & WR Raun. 2003. Nitrogen response index as a guode to fertilizer management. Journal of Plant Nutrition 26(2):249-162.
- LECO. 2008. Organic aplication notes. [En línea] <http://www.leco.com> [consulta. Febrero 2008].
- Martín, C. 2010. Índice de vegetación diferencial normalizado como estimador del nivel de nitrógeno en papa para industria. Trabajo de graduación para optar al título de Ingeniero Agrónomo. Facultad de Ciencias Agrarias. UNMdP. pp 39.
- Melchiori, R; O Caviglia; N Faccendini; A Bianchini & WR Raun. 2005. Evaluación de refertilización nitrogenada basada en un sensor óptico. Actas VII Congreso Nacional de Maiz. AIANBA-Maizar. Rosario, Santa Fe.
- Melchiori, R. 2007. Estado actual del manejo sitio específico de nitrógeno en Argentina. Actas Simposio “Fertilidad 2007”. IPNI Cono Sur-Fertilizar A.C. 74-78.
- Mullen, RW; KW Freeman; WR Raun; GV Johnson; ML Stone & JB Solie. 2003. Identifying an in-season response index and the potencial to increse wheat yield with nitrogen. Agronomy Journal 95:347-351.
- Raun, WR; JB Solie; GV Johnson; ML Stone; EV Lukina; WE Thomason & JS Schepers. 2001. In-season prediction of potential grain yield in winter wheat using canopy reflectance. Agronomy Journal 93:131–138.
- Raun, WR; JB Solie; GV Johnson; ML Stone; RW Mullen; KW Freeman; WE Thomason; EV Lukina. 2002. Improving nitrogen use efficiency in cereal grain production with optical sensing and variable rate application. Agronomy Journal 94:815-820.
- Raun, WR; JB Solie; ML Stone; KW Freeman; KL Martin; R Teal; B Aenall; B Tubana; C Byungkyun; KB Morris; K Girma; S Moges & C Mack. 2004. Cómo aumentar la eficiencia de uso del nitrógeno del cereal utilizando un sensor basado en tecnología. Congreso Nacional de AAPRESID, Rosario, Santa Fe. Argentina.
- SAS Institute. 2001. The SAS system for Windows. Release version 6.12. SAS Inst., Cary, NC.
- Sripada, RP; JP Schimidt; AE Dellinger; DB Beegle. 2008. Evaluating Multiple Indices from a Canopy Reflectance Sensor to Estimate Corn N Requirements. Agronomy Journal 100:1553–1561.
- Westermann, DT. 1993. Fertility management. p. 77-86. In: R.C. Rowe (ed.) Potato health management. Plant health management series. APS Press. Minnesota, USA.