




Ames, D. (1980). “Thermal environment affects production efficiency of livestock”, BioScience. 30: 457-460.
Ames, D. R., and D. E. Ray (1983). “Environmental manipulation to improve animal productivity”, J. Anim Sci. 57: 209-220.
ams (1989). Glossary of meteorology, Boston, MA: Am Meteorological Society. Amundson, J. L., T. L. Mader, R. J. Rasby, and Q. S. H (2006). “Environmental effects on pregnancy rate in beef cattle”, J. Anim Sci. 84: 3415-3420.
Arias, R. A. (2006). Environmental factors affecting daily water intake on cattle finished in feedlots. Thesis, University of Nebraska-Lincoln, Lincoln, NE.
Arias, R. A., and T. L. Mader (2011a). “Environmental factors affecting daily water intake on cattle finished in feedlots”, J. Anim Sci. 89: 245-251.
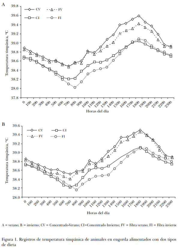
Arias, R. A., T. L. Mader and A. M. Parkhurst (2011b). “Effects of diet type and metabolizable energy intake level on tympanic temperature of steers fed during summer and winter seasons”, J. Anim Sci.: jas. 2010-2975.
Arias, R. A., T. L. Mader y P. Escobar (2008). “Factores climáticos que afectan el desempeño productivo del ganado bovino de carne y leche”, Arch Med Vet. 40: 7-22.
Arkin, H., E. Kimmel, A. Berman and D. Broday (1991). “Heat transfer properties of dry and wet furs of dairy cows”, Trans Am Soc Agric Eng. 34: 2550-2558.
Balling, R. C. J. (1980). An assessment of the impact of weather conditions on feedlot cattle performance, Center for Agricultural Meteorology and Climatology. University of Nebraska-Lincoln, Lincoln-Nebraska. 26.
Beede, D. K., and R. J. Collier (1986). “Potential nutritional strategies for intensively managed cattle during thermal stress”, J. Anim Sci. 62: 543-554.
Berry, I. L., M. D. Shanklin and H. D. Johnson (1964). “Dairy shelter design based on milk production decline as affected by temperature and humidity”, Trans ASAE. 7: 329-331.
Bicudo, J. R., y R. S. Gates (2002). “Water consumption, air and water temperature issues related to portable water systems for grazing cattle”, [in] Annual International Meeting/CIGR XVth World Congress. asae, Chicago, Illinois USA.
Birkelo, C. P. and D. E. Johnson (1993). “Seasonal environment, performance and energy metabolism of feedlot cattle in northern colorado (USA)”, [in] Livestock Enviroment IV. Fourth International Symposium, University of Warwick, Coventry, England. p. 1117-1124.
Blackshaw, J. K. and A. W. Blackshaw (1994). “Heat stress in cattle and the effect of shade on production and behaviour: A review”, Australian Journal of Experimental Agriculture. 34: 285-295.
Bohmanova, J., I. Misztal and J. B. Cole. (2007). “Temperature-humidity indices as indicators of milk production losses due to heat stress”. J. Dairy Sci. 90: 1947-1956.
Bouraoui, R., M. Lahmar, A. Majdoub, M. Djemali and R. Belyea (2002). “The relationship of temperature-humidity index with milk production of dairy cows in a mediterranean climate”, Anim. Res. 51: 479-491.
Brosh, A., Y. Aharoni, A. A. Degen, D. Wright and B. A. Young (1998). “Effects of solar radiation, dietary energy, and time of feeding on thermoregulatory responses and energy balance in cattle in a hot environment”. J. Anim Sci. 76: 2671-2677.
Brown-Brandl, T. M., D. D. Jones and W. E. Woldt (2005a). “Evaluating modelling techniques for cattle heat stress prediction”, Biosystems Engineering. 91: 513-524. Brown-Brandl, T. M., R. A.
Eigenberg, J. A. Nienaber and G. L. Hahn (2005b). “Dynamic response indicators of heat stress in shaded and non-shaded feedlot cattle, part 1: Analyses of indicators”. Biosystems Engineering. 90: 451-462.
Brown-Brandl, T. M., J. A. Nienaber, R. A. Eigenberg, T. L. Mader, J. L. Morrow and J. W. Dailey (2006a). “Comparison of heat tolerance of feedlot heifers of different breeds”, Livestock Science, 105: 19-26.
Brown-Brandl, T. M., R. A. Eigenber and J. A. Nienaber (2006b). “Heat stress risk factors of feedlot heifers”, Livestock Science, 105: 57-68.
Buffington, D. E., A. Colazon-Arocho, G. H. Canton and D. Pitt (1981). “Black globe-humidity index (bghi) as comfort equation for dairy cows”, Trans. Am. Soc. Agric. Eng. 24: 711-714.
ccac (2009) Canadian Council on Animal Care guidelines on: The care and use of farm animals in research, teaching and testing.
Christison, G. I. andJ. D. Milligan (1974). “A seven year study of winter performance of feedlots steers in western Canada”, [in] Proceedings of the International Livestock Environment Symposium (SP-0174), Lincoln, Nebraska. USA. p 296-300.
Collier, R. J., G. E. Dahl and M. J. VanBaale (2006). “Major advances associated with environmental effects on dairy cattle”, J. Dairy Sci. 89: 1244-1253.
Collier, R. J. and R. B. Zimbelman (2007). “Heat stress effect on cattle: What we know and what we don’t know”, [in] 22nd Annual Southwest Nutrition & Management Conference, Tempe, Arizona.
Da Silva, R. G. and F. R. Minomo (1995). “Circadian and seasonal variation of the body temperature of sheep in a tropical environment”, International Journal of Biometeorology, 39: 69-73.
Da Silva, R. G. (2012). “Weather and climate and animal production”, [in] K. Stigter (ed.) Guide to agricultural meteorological practices (gamp) wmo-no.134. p 21. World Meteorological Organization, visited on January 3th 2013, .
Davis, M. S., T. L. Mader, S. M. Holt and A. M. Parkhurst (2003). “Strategies to reduce feedlot cattle heat stress: Effects on tympanic temperature”, J. Anim Sci. 81: 649-661.
Davis, S. and T. L. Mader (2003). “Adjustments for wind speed and solar radiation to the temperature humidity index”, Nebraska Beef Cattle Reports: 49-51.
DeShazer, J. A., G. L. Hahn and H. Xin (2009). “Basic principles of the thermal environment and livestock energetics” [in] J. A. DeShazer (ed.) Livestock energetics and thermal environmental management. p 1-22. ASABE, St. Joseph, MI.
Eigenberg, R. A., Hahn, G.L. , J. A. Nienaber, T. M. Brown-Brandl and D. E. Spiers (2000). “Development of a new respiration rate monitor for cattle”, Transacion of the ASAE 43: 723-728.
Eigenberg, R. A., T. M. Brown-Brandl, J. A. Nienaber and G. L. Hahn (2005). “Dynamic response indicators of heat stress in shaded and non-shaded feedlot cattle, part 2: Predictive relationships”, Biosystem Engineerings, 91: 111-118.
Eigenberg, R. A., R. A. Bucklin and B.B. T.M. (2009). “Instrumentation for research and management in animal agriculture”, [in] J. A. DeShazer (ed.) Livestock energetics and thermal environmental management. p. 131-149. ASABE, St. Joseph, MI.
Finch, V. A. (1986). “Body temperature in beef cattle: Its control and relevance to production in the tropics”. J. Anim Sci. 62: 531-542.
Fox, D. G. and T. P. Tylutki (1998). “Accounting for the effects of environment on the nutrient requirements of dairy cattle”. J. Dairy Sci. 81: 3085-3095.
Gallardo, M. R., S. E. Valtorta, P. E.Leva, M. C. Gaggiotti, G. A. Conti, and R. F. Gregoret (2005). “Diet and cooling interactions on physiological responses of grazing dairy cows, milk production and composition”, International Journal of Biometeorology. 50: 90-95.
Gaughan, J. B., T. L. Mader, S. M. Holt, M. J. Josey and K. J. Rowan (1999). “Heat tolerance of boran and tuli crossbred steers”. J. Anim Sci. 77: 2398-2405.
Gaughan, J. B. and J. P. Goopy (2002). “Behavior of lot fed cattle when exposed to hot environmental conditions”, [in] 15th Conference on Biometereoloy/Aerobiology and 16th Int. Congress of Biometereology. p. 2.
Gaughan, J. B., M. S. Davis and T. L. Mader (2004). “Wetting and the physiological responses of grain-fed cattle in a heated environment”, Australian Journal of Agricultural Research. 55: 253-260.
Gaughan, J. B., T. L. Mader, S. M. Holt and A. Lisle (2008). “A new heat load index for feedlot cattle”, J. Anim Sci. 86: 226-234.
Gaughan, J. B., T. L. Mader, S. M. Holt, M. L. Sullivan, and G. L. Hahn (2010). “Assessing the heat tolerance of 17 beef cattle genotypes”, International Journal of Biometeorology. 54: 617-627.
Guyton, A. C. and J. E. Hall (1996). Textbook of medical physiology, Philadelphia: WB Saunders Company.
Habeeb, A. A., I. F. Marai and T. H. Kamal (1992). “Heat stress”, [in] C. Phillips, Pigginns, D. (ed.) Farm animals and the environment, Wallingford, UK: CAB International, p 27-47.
Hahn, G. L., J. A. Nienaber and R. A. Eigenber (1993). “Environmental influences on the dynamic of thermoregulation and feeding behavior in cattle and swine”, [in] Livestock Enviroment IV. Fourth International Symposium University of Warwick, Coventry, England. p. 1106-1116.
Hahn, G. L. and T. L. Mader (1997). “Heat waves in relation to thermoregulation, feeding behavior, and mortality of feedlot cattle” [in] Livestock Environment V. Proceedings of the Fifth International Symposium, Bloomington, Minnesota, USA. p. 563-571.
Hahn, G. L., T. L. Mader and R. A. Eigenberg (2003). “Perspective on development of thermal indices for animal studies and management¶, [in] N. Lacetera, U. Bernabucci, H. H. Khalifa, B. Ronchi and A. Nardone (eds.) Interactions between climate and animal production No. EAAP Technical Series No. 7. p 31-44. Wageningen Academic Publishers, The Netherlands.
Hahn, G. L., J. B. Gaughan, T. L. Mader and R. A. Eigenberg (2009). “Thermal indices and their applications for livestock environments” [in] J. A. DeShazer (ed.) Livestock energetics and thermal environmental management. ASABE, St. Joseph, MI. p. 113-130.
Hicks, R. B., F. N. Owens, D. R. Gill, J. J. Martin and C. A. Strasia (1988). Water intake by feedlot steers, Oklahoma State University, Oklahoma.208-212. Hoelscher, M. A. (2001). Adverse winter conditions increase cost of production Feedstuffs No. 73. p. 5.
Igono, M. O., H. D. Johnson, B. J. Steevens, W. A. Hainen and M. D. Shanklin (1988). “Effect of season on milk temperature, milk growth hormone, prolactin, and somatic cell counts of lactating cattle”, International Journal of Biometeorology 32: 194-200.
ipcc (2007). Climate change 2007: Working Group I: The physical science basis.153.
Jeter, M. (2001). Drinking water intake by finishing yearling beef steers. Thesis, West Texas A&M University, Canyon, Texas.
Johnson, H. D. (1986). “The effects of temperature and thermal balance on milk production” [in] G. P. Moberg (ed.) Limiting effects of stress on cattle. Western Regional Research Publication #009 and Utah State University, Logan, Utah. p. 33-46.
Kendall, P. E., C. B. Tucker, D. E. Dalley, D. A. Clark and J. R. Webster (2008). “Milking frequency affects the circadian body temperature rhythm in dairy cows”, Livestock Science, Volume 117 [in]. .
Keren, E. N., and B. E. Olson (2006). “Thermal balance of cattle grazing winter range: Model development”, Journal of Thermal Biology. 31: 371-377.
Keren, I. N. (2005). Thermal balance model for cattle grazing winter range. Thesis, Montana State University, Bozeman, Montanta. lci (1970). Patterns of transient losses, Omaha, NE.
Lindley, J. A., and J. H. Whitaker (1996). Agricultural buildings and structures, asae, St. Joseph, MI.
Loneragan, G. H., J. J. Wagner, D. H. Gould, F. B. Garry and M. A. Thoren (2001). “Effects of water sulfate concentration on performance, water intake, and carcass characteristics of feedlot steers”, J. Anim Sci. 79: 2941-2948.
Mader, T. L. ( 2003). “Environmental stress in confined beef cattle”, J. Anim Sci. 81: E110-119.
Mader, T. L. (2007). “Heat stress effects on feedlot cattle and mitigation strategies”, [in] 22nd Annual Southwest Nutrition & Management Conference, Tempe, Arizona. p. 84-92.
Mader, T. L., J. M. Dahlquist, G. L. Hahn and J. B. Gaughan (1999a). “Shade and wind barrier effects on summertime feedlot cattle performance”, J. Anim Sci. 77: 2065-2072.
Mader, T. L., J. B. Gaughan and B. A. Young (1999b). “Feedlot diet roughage level for hereford cattle exposed to excessive heat load”, Prof. Anim. Sci. 15: 53-62.
Mader, T. L., L. L. Hungerford., J. A. Nienaber, M. J. Buhman, M. S. Davis, G. L. Hahn, W. M. Cerkoney and S. M. Hol (2001). “Heat stress mortality in midwest feedlots”, Journal of Animal Science 79 (Suppl.2): 33.
Mader, T. L., M. S. Davis, J. B. Gaughan and T. M. Brown-Brandl (2004). “Wind speed and solar radiation adjustments for the temperature-humidity index”, [in] 26th Agricultural and Forest Meteorology/13th Air Pollution/5th Urban Environment/16th Biometeorology and Aerobiology, Vancouver, BC Canada. p. 6.
Mader, T. L., M. S. Davis and W. M. Kreikemeier (2005). “Tympanic temperature and behavior associated with moving feedlot cattle”, Prof. Anim. Sci. 21: 339-344.
Mader, T. L., M. S. Davis and T. Brown-Brandl (2006). “Environmental factors influencing heat stress in feedlot cattle”, J. Anim Sci. 84: 712-719.
Mader, T. L. and W. M. Kreikemeier (2006). “Effects of growth-promoting agents and season on blood metabolites and body temperature in heifers”, J. Anim Sci. 84: 1030-1037.
Mader, T., M. Davis and J. Gaughan (2007). “Effect of sprinkling on feedlot microclimate and cattle behavior”, International Journal of Biometeorology. 51: 541-551.
Mader, T. L., L. J. Johnson and J. B. Gaughan (2010). “A comprehensive index for assessing environmental stress in animals”, J. Anim Sci. 88: 2153-2165.
maff (2000). Climate change and agriculture in the United Kingdom. Ministry of Agriculture, Fisheries and Food (maaf).
Meyer, U., M. Everinghoff, D. Gadeken and G. Flachowsky (2004). “Investigations on the water intake of lactating dairy cows”, Livestock Production Science. 90: 117-121.
Morton, J. M., W. P. Tranter, D. G. Mayer and N. N. Jonsson (2007). “Effects of environmental heat on conception rates in lactating dairy cows: Critical periods of exposure”, J. Dairy Sci. 90: 2271-2278.
Murphy, M. R., C. L. Davis and G. C. McCoy (1983). “Factors affecting water consumption by holstein cows in early location”, J. Dairy Sci. 66: 35-38.
nrc (1981). Effect of environment on nutrient requirements of domestic animals. Washington DC: National Academy Press.
Richards, S. A. (1973). Temperature regulation, London Great Britain: Wykeham Publications.
Sevi, A., G Annicchiarico, M. Albenzio, L. Taibi, A. Muscio and S. Dell’Aguila (2001). “Effects of solar radiation and feeding time on behavior, immune response and production of lactating ewes under high ambient temperature”, J. Dairy Sci. 84: 629-640.
Silanikove, N. (2000). “Effect of heat stress on the welfare of extenisvely managed domestic ruminants”, Livestock Production Science. 67: 1-18.
Siple, P. A. and C. F. Passel (1945). “Measurements of dry atmospheric cooling in subfreezing temperatures”, Proc. Am. Philos. Soc. 89: 177-199.
St-Pierre, N. R., B. Cobanov and G. Schnitkey (2003). “Economic losses from heat stress by us livestock industries”, J. Dairy Sci. 86: E52-77.
Stowell, R. R., T. L. Mader and J. B. Gaughan (2009). “Environmental management”, [in] J. A. DeShazer (ed.) Livestock energetics and thermal environmental management, asabe, St Joseph, MI, p. 181-209.
Tew, M. A., G. Battel and C. A. Nelson (2002). “Implementation of a new wind chill temperature index by the national weather service” [in] 26th Agricultural and Forest Meteorology/13th Air Pollution/5th Urban Environment/16th Biometeorology and Aerobiology, Vancouver, BC Canada.
Thom, E. C. (1959). “The discomfort index”, Weatherwise. 12: 57-59.
Valtorta, S. E., P. E. Leva, M. R. Gallardo, H. C. Castro y O. E. Scarpati (1999). “Producción lechera: Evaluación de dos índices de estrés para analizar impactos ambientales. Actas XI Congreso Brasileiro de Agrometereología y II Reunión Latinoamericana (sba) 786-791.
West, J. W. (2003). “Effects of heat-stress on production in dairy cattle”, Journal of Dairy Science. 86: 2131-2144. Young, B. A. (1981). “Cold stress as it affects animal production”, J. Anim Sci. 52: 154-163.
Young, B. A., and R. J. Christopherson (1974). “Effect of prolongued cold exposure on digestion and metabolism in ruminants”, [in] Proceedings of the International Livestock Environment Symposium (SP-0174), Lincoln, Nebraska. USA. p. 75-80.
Yousef, M. K. (1985a). Stress physiology in livestock. Vol. ii. Ungulates. crc Press, Boca Raton, FL. Yousef, M. K. (1985b). Stress physiology in livestock. Vol. i. Basic Principles. CRC Press, Boca Raton, FL.
Yousef, M. K. (1987). “Principles of bioclimatology and adaptation”, [in] H. D. Johnson (ed.) World animal science, Elsevier, New York: p. 17-29.


Ing Rodrigo Arias. Mis felicitaciones por el artículo, completo y abarcativo. Podrá ampliar la temática relacionada con el suministro de dietas frías en vacas lecheras o adecuar la alimentación para minimizar los efectos del stress calórico. Muy interesante involucrar éste tema además de la adaptación con instalaciones, ventiladores, sombras, etc. Muchas gracias, Claudio Glauber.
