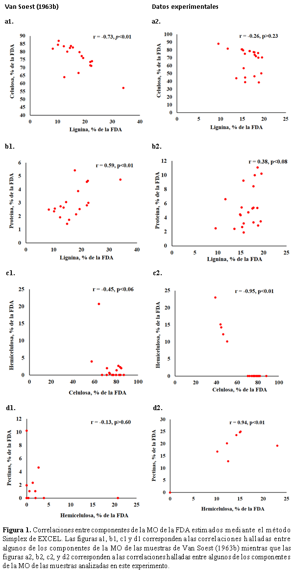
El método de Fibra en Detergente Ácido (FDA) se basa en el supuesto según el cual el residuo obtenido con el empleo del detergente está constituido por celulosa y lignina. Varios trabajos indican, sin embargo, que esta composición es más compleja. En este artículo se siguió el método Simplex utilizando la herramienta Solver de Microsoft Office Excel para estimar la composición química más probable de la FDA. Para ello se revisaron los resultados publicados por Van Soest en 1963 y los de los análisis de FDA y lignina, así como los de las cenizas, carbono (C) y nitrógeno (N) en los residuos de la FDA y de la lignina realizados a 18 muestras de gramíneas forrajeras y a cuatro muestras de heces de vacas alimentadas con pastos tropicales. A partir del contenido de C en la lignina, la celulosa, hemicelulosa, pectinas y proteínas, así como del contenido de lignina y proteína en la FDA, se estimó la composición más probable de los carbohidratos en la FDA. Los resultados indican que la FDA está constituida por celulosa, lignina, hemicelulosa, pectinas, proteínas y cenizas en cantidades variables y no solo por lignina y celulosa. Se recomienda abandonar el esquema para estimar la composición de los carbohidratos propuesto por Van Soest y, en su lugar, realizar análisis de componentes químicos individuales bajo metodologías aplicada a la caracterización de fibra dietaria o biomasas vegetales.
Palabras clave: carbono, celulosa, cenizas, hemicelulosa, lignina, pectinas, proteínas, método Simplex






Albenne C, Canut H and Jamet E 2013 Plant cell wall proteomics: the leadership of Arabidopsis thaliana. Frontiers in Plant Science, Volume 4: 1 – 17. Retrieved December 3, 2017, from https://www.frontiersin.org/articles/10.3389/fpls.2013.00111/full
Bailey R and Ulyatt M 1969 Pasture quality and ruminant nutrition. II. Carbohydrate and lignin composition of detergent-extracted residues from pasture grasses and legumes. New Zealand Journal of Agricultural Research, Volume 13: 591 - 604.
Bikovens O, Dizhbite T and Telysheva G 2012 Characterisation of humic substances formed during co-composting of grass and wood wastes with animal grease. Environmental Technology Volume 33(12): 1427 - 1433
Boerjan W, Ralph J and Baucher M 2003 Lignin biosynthesis. Annual Review of Plant Biology, 54: 519–546
Brauns F E 1952 The Chemistry of Lignin. The Institute of Paper Chemistry, Appleton, Wisconsin. Academic Press, New York. 808 p
Brinkmann K, Blaschke L and Polle A 2002 Comparison of different methods for lignin determination as a basis for calibration of near-infrared reflectance spectroscopy and implications of lignoproteins. Journal of Chemical Ecology, Volume 28(12): 2483–2501. Retrieved August 24, 2017, from https://link.springer.com/article/10.1023/A:1021484002582
Cesarino I, Araújo P, Domingues A and Mazzafera P 2012 An overview of lignin metabolism and its effect on biomass recalcitrance. Brazilian Journal of Botany, Volume 35(4): 303-311 Retrieved October 28, 2018, from http://www.scielo.br/pdf/rbb/v35n4/a03v35n4.pdf
Chantreau M, Portelette A, Dauwe R, Kiyoto S, Cronier D, Morreel K, Arribat S, Neutelings G, Chabi M, Boerjan W, Yoshinaga A, Mesnard F, Grec S, Chabbert B and Hawkins S 2014 Ectopic lignification in the flax lignified bast fiber1 mutant stem is associated with tissue-specific modifications in gene expression and cell wall composition. Plant Cell, 26, 4462–4482
Colburn M W and Evans J L 1967 Chemical Composition of the Cell-Wall Constituent and Acid Detergent Fiber Fractions of Forages. Journal of Dairy Science, Volume 50 (7): 1130 – 1135
Diehl B G 2014 Preparation and characterization of ligninprotein covalent linkages. The Pennsylvania State University, The Graduate School, College of Agricultural Sciences PhD Thesis Dissertation, 109 p Retrieved November 19, 2018, from https://etda.libraries.psu.edu/files/final_submissions/9736
Dignac, M F, Bahri H, Rumpel C, Basse D P, Bardoux G, Balesdent J, Girardin C, Chenu C and Mariotti A 2005 Carbon-13 natural abundance as a tool to study the dynamics of lignin monomers in soil: an appraisal at the Closeaux experimental field (France). Geoderma, Volume 128: 3 -17
Dyckmans J, Brinkmann F K, Mai C and Polle A 2002 Carbon and nitrogen dynamics in acid detergent fibre lignins of beech (Fagus sylvatica L.) during the growth phase. Plant, Cell and Environment, Volume 25: 469 - 478 Retrieved September 12, 2018, from https://onlinelibrary.wiley.com/doi/full/10.1046/j.1365-3040.2002.00826.x
Fisher D 2015 Focus on forages. Dairy Focus at Illinois Newsletter, 2(1). 5 p. Retrieved August 5, 2017, from https://dairyfocus.illinois.edu/sites/dairyfocus.illinois.edu/files/Vol2Issue1.pdf
Fukushima R S, Kerleya M S, Ramos M H, Porter J H and Kallenbach R L 2015 Comparison of acetyl bromide lignin with acid detergent lignin and Klason lignin and correlation with in vitro forage degradability. Animal Feed Science and Technology, Volume 201: 25 - 37.
Galano A, Aburto J, Sadhukhan J and Torres-García E 2017 A combined theoretical-experimental investigation on the mechanism of lignin pyrolysis: Role of heating rates and residence times. Journal of Analytical and Applied Pyrolysis, Volume 128: 208-216
Gidenne T and Lebas F 2002 Role of dietary fibre in rabbit nutrition and in digestive troubles prevention. 2d Rabbit Congress of the America, Habana City, Cuba, June 19-22. 13 p Retrieved November 23, 2018, from https://www.researchgate.net/profile/Francois_Lebas2/publication/267834779_Role_of_dietary_fibre_in_rabbit_nutrition_and_in_digestive_troubles_prevention/links/5490357b0cf214269f266207/Role-of-dietary-fibre-in-rabbit-nutrition-and-in-digestive-troubles-prevention.pdf
Godin B, Agneessens R, Gerin P and Delcarte J 2011 Composition of structural carbohydrates in biomass: Precision of a liquid chromatography method using a neutral detergent extraction and a charged aerosol detector. Talanta, volume 85: 2014 - 2026.
Godin B, Agneessens R, Gerin P and Delcarte J 2015 Lignin in plant biomasses: comparative metrological assessment of the detergent fiber and the insoluble dietary fiber methods. Cellulose, volume 22: 2325 – 2340.
Goering K H and Van Soest P J 1970 Forage fiber analysis (apparatus, reagents, procedures, and some application). In: USDA Agricultural Handbook. ARSUSDA, Washington, 379 p
Guillién R, Heredia A, Felizón B, Jiménez A, Montaflo and Fernández J 1992 Fibre fraction carbohydrates in Olea europea (Gordal and Manzanilla var.). Food Chemistry, Volume 44: 173-178
Hatfield R D, Jung H J G, Ralph J, Buxton D Rand Weimer P J 1994 A comparison of the insoluble residues produced by the Klason lignin and acid detergent lignin procedures. Journal of the Science of Food and Agriculture, Volume 65: 51-58
Henneberg W und F Stohmann 1960 Versuche über das Erhaltungsfutter volljährige Rindviehes. Im: Henneberg W und Stohmann F Beiträge zur Begründung einer rationellen Fütterung der Wiederkäuer. C. A. Schwctschke und Sohn, Braunschweig. Kapitel II: 17 – 188
Hoffman P and Shaver R 2014 A Quick Guide to Understanding Forage Test Results. University of Wisconsin, Focus on Forage, 6(2). 2 p. Retrieved July 1, 2017, from https://fyi.uwex.edu/forage/files/2014/01/QuickGuide-FOF.pdf
Jaimes L J, Giraldo A M y Correa H J 2018: De Parmentier a Van Soest y más allá: un análisis histórico del concepto y métodos de determinación de la fibra en alimentos para rumiantes. Livestock Research for Rural Development. Volume 30, Article #126. Retrieved October 15, 2019, from http://www.lrrd.org/lrrd30/7/hjco30126.html
Joshi N, Rawat K and Bohidar H B 2016 Influence of Structure, Charge, and Concentration on the Pectin–Calcium–Surfactant Complexes. The Journal of Physical Chemistry, Volume 120 (18): 4249 - 4257
Kanani J 2012 Evaluation of internal markers for predicting digestibility and fecal output by cattle fed bermudagrass hays of varying quality. Thesis of Doctor Philosophy in Animal Science, University of Arkansas, 116 p
Kanani J, Philipp D, Coffey K P, Kegley E B, West C P, Gadberry S, Jennings J, Young A N and Rhein R T 2014 Comparison of acid-detergent lignin, alkaline-peroxide lignin, and acid-detergent insoluble ash as internal markers for predicting fecal output and digestibility by cattle offered bermudagrass hays of varying nutrient composition. Journal of Animal Science and Biotechnology, Volume 5: 7 p Retrieved November 19, 2018, from https://jasbsci.biomedcentral.com/track/pdf/10.1186/2049-1891-5-7
Kärkönen A, Tapanila T, Laakso T, Seppänen M, Isolahti M, Hyrkäs M, Virkajärvi P and Saranpää P 2014 Effect of Lignin Content and Subunit Composition on Digestibility in Clones of Timothy (Phleum pratense L.). Journal of Agricultural Food and Chemistry, 62 (26): 6091–6099
Lamiae A, Souad S, Oussama A, El Moujahid A, Hassani A, Manar O and Mbarki M 2018 Effect of Conservation Technic and Storage Period on the Fiber Content: NDF ADF ADL for Sugar Beet Pulp. International Journal of Advances in Scientific Research and Engineering, Volume 4(6): 1 – 7 Retrieved September 22, 2018, from http://ijasre.net/uploads/1/3634_pdf.pdf
Li Z, Zhao C, Zha Y, Wan C, Si S, Liu F, Zhang R, Li F, Yu B, Yi Z, Xu N, Peng L and Li Q. 2014) The Minor Wall-Networks between Monolignols and Interlinked-Phenolics Predominantly Affect Biomass Enzymatic Digestibility in Miscanthus. PLoS ONE, 9(8): e105115
Licitra G, Hernandez T M and Van Soest P J 1996 Standardization of procedures for nitrogen fractionation of ruminant feeds. Animal Feed Science Technology, Volume 57: 347 – 358.
Mika V 1981 Some remarks on the determination of acid-detergent fibre in feeds with cetyltrimethylammonium bromide versus determination of detergent fibre with alkylarylsulfonic. Animal Feed Science and Technology, Volume 6: 91-94.
Muller F M, Dijkhuis J G and Heida S 1970 On the relationship between chemical composition and digestibility in vivo of roughage. Centre for Agricultural Publishing and Documentation, Wageningen. 29 Retrieved November 7, 2018, from http://edepot.wur.nl/309611
Naeiny A P, Mesgaran M D, Vakili A R, Ebrahimi H 2018 Effect of Physical Processing of Pea (Pisum sativum) on Nitrogen Fractionation and Intestinal Protein Digestion. Journal of Veterinary Science and Technology, Volume 9: Retrieved October 28, 2018, from 514 https://www.omicsonline.org/open-access/effect-of-physical-processing-of-pea-pisum-sativum-on-nitrogenfractionation-and-intestinal-protein-digestion-2157-7579-1000514.pdf
National Center for Biotechnology Information (NCBI) 2018a PubChem Compound Database; CID=16211032 Retrieved November 15, 2018, from https://pubchem.ncbi.nlm.nih.gov/compound/16211032
National Center for Biotechnology Information (NCBI) 2018b PubChem Compound Database; CID=644160 Retrieved November 15, 2018, from https://pubchem.ncbi.nlm.nih.gov/compound/644160
National Center for Biotechnology Information (NCBI) 2018c PubChem Compound Database; CID=441476 Retrieved November 15, 2018, from https://pubchem.ncbi.nlm.nih.gov/compound/441476
Neumann M, Nörnberg J L, Mattos G F, Horst E H and Nogueira D 2017 Chemical fractionation of carbohydrate and protein composition of corn silages fertilized with increasing doses of nitrogen. Ciência Rural, Santa Maria, Volume 47 (05): 1 - 7 Retrieved November 27, 2018, from http://www.scielo.br/pdf/cr/v47n5/1678-4596-cr-47-05-e20160270.pdf
Pineda D 2014 Modeling Biomass Gasification Surface Reactions: The Effect of Hydrogen Inhibition. Thesis of Master Science, University of California, Berkeley. 71 p Retrieved January 27, 2019, from http://firebrand.me.berkeley.edu/thesis/pineda_thesis.pdf
Rancour D M, Marita J M, Hatfield R D 2012 Cell wall composition throughout development for the model grass Brachypodium distachyon. Frontiers in Plant Science, Volume 3: 266 Retrieved September 23, 2018, from https://www.ncbi.nlm.nih.gov/pmc/articles/PMC3514619/
Refat B, Louzada L, Lei Y, Christensen D, McKinnon J and Yu P 2017 Physiochemical Characteristics and Molecular Structures for Digestible Carbohydrates of Silages. Journal of Agricultural and Food Chemistry, Volume 65 (41): 8979 - 8991
Ross D A, Gutierrez-Botero M and Van Amburgh, M E 2013 Development of an in vitro intestinal digestibility assay for ruminant feeds. Proc. Cornell Nutrition Conference for Feed Manufacturers, Ithaca, NY, Cornell University, Syracuse, NY: 190 - 202
Rouwenhorst R J, Frank J, Scheffers W A and van Dijken J P 1991 Determination of protein concentration by total organic carbon analysis. Journal of Biochemical and Biophysical Methods, Volume 22 (2): 119 - 128
Russo S 1981 Comparison of methodologies for determination of content and digestibility of hemicellulose and cellulose in tropical grass hays. Thesis Doctor of Phisolophy, University of Florida 122 p Retrieved November 27, 2018, from http://ufdcimages.uflib.ufl.edu/UF/00/09/74/42/00001/comparisonofmeth00russrich.pdf
Samfira I, Butnariu M, Rodino S and Butu M 2013 Structural investigation of mistletoe plants from various hosts exhibiting diverse lignin phenotypes. Digest Journal of Nanomaterials and Biostructures, Volume 8(4): 1679 – 1686 Retrieved January 27, 2019, from http://www.chalcogen.ro/1679_BUTU.pdf
Selvendran R R, Stevens B and Du Pont M S 1987 Dietary fiber: chemistry, analysis and properties. Advances in Food Research, 31: 117-209.
Serapiglia M J, Humiston M C, Xu H, Hogsett D A, Orduña R M, Stipanovic A J and Smart L B 2013 Enzymatic saccharification of shrub willow genotypes with differing biomass composition for biofuel production. Frontiers in Plant Science, Volume 4, Article 57
Singh S, Venktesh B, Shukla G P, Singh K K and Gehrana D 2018 Variation in carbohydrate and protein fractions, energy, digestibility and mineral concentrations in stover of sorghum cultivars. Tropical Grasslands, Volume 6(1): 42 -52.
Sluiter A, Hames B, Ruiz R, Scarlata C, Sluiter J, Templeton D and Crocker D 2012 Determination of Structural Carbohydrates and Lignin in Biomass. National Renewable Energy Laboratory (NREL). Golden, Colorado. 18 p. Retrieved January 30, 2019, from https://www.nrel.gov/docs/gen/fy13/42618.pdf
Sonnenberg A, Baars J, Visser M, Lavrijssen P and & Hendrickx 2016 Evaluation of shiitake strains (Lentinula edodes) on selective lignin degradation in Miscanthus x giganteus. Wageningen, the foundation Stichting Dienst Landbouwkundig Onderzoek. Research Institute Praktijkonderzoek Plant and Omgeving / Plant Research International, Wageningen UR (University & Research centre), PPO/PRI report 2016-X. 23 p Retrieved February 13, 2019, from http://edepot.wur.nl/401882
Statistical Analysis Software (SAS) 1998 SAS User's Guide Statistics (Version 8).
Tariq H, Kundu S S, Singh S K, Sharma N, Sharma A and Singh M P 2018 Metabolizable energy and protein evaluation of some common Indian feedstuffs used in ruminant ration. The Pharma Innovation Journal, Volume 7(7): 524 – 527 Retrieved September 7, 2018, from http://www.thepharmajournal.com/archives/2018/vol7issue7/PartI/7-7-43-108.pdf
Treviño J y Arosemeña G 1971 Determinación de la fracción fibra de los forrajes. Pastos, Volumen 1 (1): 120 – 125 Retrieved July 2, 2017, from http://polired.upm.es/index.php/pastos/article/viewFile/1485/1491
Tuyet B T, IIyama K and Stone B A 1996 Lignin and Hydroxycinnamic Acids in Walls of Brown Midrib Mutants of Sorghum, Pearl Millet and Maize Stems. Journal of Science of Food and Agriculture, Volume 71: 174 -178
Tylutki T 2015 Implementing CNCPS 6.5. Proc. Cornell Nutrition Conference for Feed Manufacturers, Ithaca, NY, Cornell University, Syracuse, NY. 7 p Retrieved September 22, 2018, from https://ecommons.cornell.edu/bitstream/handle/1813/41233/CNC2015_19-tylutki_manu.pdf;sequence=2
Van Soest P J 1963a Use of Detergents in the Analysis of Fibrous Feeds. I. Preparation of Fiber Residues of Low Nitrogen Content. Journal of the Association of Official Analytical Chemists, Volume 46(5): 825 – 829.
Van Soest P J 1963b Use of Detergents in the Analysis of Fibrous Feeds. II. A Rapid Method for the Determination of Fiber and Lignin. Journal of the Association of Official Analytical Chemists, Volume 46(5): 830 – 835.
Van Soest P J 1964 Symposium on nutrition and forage and pastures: New chemical procedures for evaluating forages. Journal of Animal Science, Volume 23: 833 – 845.
Van Soest P J and R H Wine 1968 The determination of lignin and cellulose in acid detergent fiber with permanganate. Journal of the Association of Official Analytical Chemists, Volume 51(4): 780 - 787.
Van Soest P J, Robertson J B and Lewis B A 1991 Methods for Dietary Fiber, Neutral Detergent Fiber, and Nonstarch Polysaccharides in Relation to Animal Nutrition. In: Symposium: Carbohydrate methodology, metabolism, and nutritional implications in dairy cattle. Journal of Dairy Science, Volume 74: 3583 - 3597.
Vandenbossche V, Doumeng C and Rigal L 2014 Thermomechanical and Thermo-mechano-chemical Pretreatment of Wheat Straw using a Twin-screw Extruder. BioResources, volume 9(1): 1519 – 1538 Retrieved February 14, 2019, from http://ojs.cnr.ncsu.edu/index.php/BioRes/article/view/BioRes_09_1_Vandenbossche_Thermomechanical_Pretreatment/2593
Vogel J 2008 Unique aspects of the grass cell wall. Current Opinion in Plant Biology, Volume 11(3): 301 - 307
Whitehead D L and Quicke G V 1960 The nitrogen content of grass lignin. Journal of the Science of Food and Agriculture, Volume 11(3): 151 - 152.
Xiong W 2016 Development of prediction models for Woody Hemp Core (WHC) composition using Near-Infrared Spectroscopy (NIRS) and biochemical analysis. Wageningen University, MSc Thesis. 49 p. Retrieved September 7, 2018, from http://edepot.wur.nl/375417


















