Introducción
Las consociaciones de vicias (leguminosa) con avena (A. sativa) y cebada (H. vulgare) son utilizadas en Argentina, siendo los destinos más habituales el pastoreo directo, la confección de reservas en forma de silaje y heno, y más recientemente como cultivos de cobertura. Diez et al. (2018) concluyeron que la consociación de cebada o avena con Vicia villosa incrementó el rendimiento y el nivel de proteína bruta, mejorando el forraje destinado a silaje. Los porcentajes de participación del cereal en la mezcla pueden variar desde un 20% hasta un 60% dependiendo del manejo previo y del control de gramíneas en el cultivo de vicia (Caballero et al. 1995). El objetivo de este trabajo fue la evaluación productiva de distintas consociaciones de dos especies de vicia y dos cereales - avena y cebada - en el noroeste de Chubut, Argentina.
Materiales y Métodos
Los ensayos se llevaron a cabo durante dos temporadas en el Campo Agroforestal Experimental INTA Esquel (43º 07’ 40,1 S; 71º 33’ 32,6 O).

La preparación del suelo consistió en dos laboreos con rastra de discos y uno con grada rotativa. El suelo presentó textura franco arenosa con pH: 5,4; MO: 8,4% y P 28 ppm. La siembra se realizó a mano, el 12-10-20 y el 16-09-21. Se evaluaron 8 tratamientos: VV90-Av60, VV90-Cb60, VS90- Av60, VS90-Cb60, VV60-Av90, VV60-Cb90, VS60-Av90 y VS60-Cb90; donde VV: vicia villosa, VS: vicia sativa, Av: avena (“Paloma INTA”) y Cb: cebada (“Patagónica INTA”). Las densidades de siembra fueron estimadas para lograr un stand final de plantas de 90 y 60 plantas m-2 para cada componente de la consociación. Cada unidad experimental fue sembrada en una superficie de 5 m2 con 3 repeticiones. Solo se fertilizó a la siembra con fosfato diamónico a razón de 120 kg ha-1 (18 N, 46 P). Se aplicó como herbicida diflufenicam a razón de 0,15 l ha-1 en estado de macollaje de las gramíneas. Se regó diariamente desde la siembra hasta el final del ensayo por goteo y aspersión, durante la primera y segunda temporada respectivamente. Se cosechó 1 m lineal de cada unidad experimental, cuando las gramíneas estaban en estado lechoso-pastoso (30-01-21, el 1º año y 28-12-21 el 2º año). Las muestras se secaron en estufa a 60ºC hasta peso constante para la estimación de producción total por ha. La producción de biomasa fue analizada mediante diseño en bloques completos al azar y comparación de medias por test LSD con un error del 5%.
Resultados y Discusión
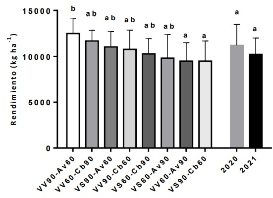
No se observó interacción año*tratamiento (P> 0,05). Los resultados demuestran que la consociación de VV90-Av60 fue la más productiva, aunque solo difirió significativamente de VV60-Av90 y VS90-Cb60 (Figura 1). La consociación de VV90-Av60 produjo un 32% que VS90-Cb60 (produciendo 12501 kg MS ha-1 vs 9491 kg MS ha-1 ) durante la primera temporada y 23% más en comparación a la mezcla VV60- Av90, alcanzando 11679 kg MS ha-1 vs 8052 kg MS ha-1 , durante la segunda experiencia. Se observó que los tratamientos que poseían cebada en la composición, presentaron mayor grado de volcado que las parcelas con avena, posiblemente porque esta última tiene un tallo más fuerte. La eficacia del herbicida aplicado no fue la esperada, realizando un control parcial de las malezas presentes. Vale mencionar que estos son los primeros resultados obtenidos bajo condiciones experimentales en la zona, sirviendo como información de base para futuras evaluaciones.

Figura 1. Producción total de materia seca (kg MS ha-1 ) de las consociaciones evaluadas y la media para cada temporada. Media y error estándar. Letras diferentes indican diferencias significativas (P< 0,05).
Conclusiones
Los resultados obtenidos en esta experiencia, demuestran que la producción de forraje logrado fue aceptable para nuestra zona, destacándose la composición de VV90-Av60 en las dos temporadas ensayadas. Vale señalar que son necesarios más estudios variando densidades de las especies, control de malezas y fechas de siembra.