Introducción
Cuando la proteína metabolizable presenta una cantidad y perfil de aminoácidos adecuado, su eficiencia de utilización es optimizada y la excreción de urea y otros compuestos nitrogenados es reducida. Según Erasmus et al. (1994), la variación en la composición de aminoácidos (AA) de la digesta duodenal se debe principalmente a la variación en la composición y en la cantidad de proteína que escapa de la degradación ruminal. En este contexto, objetivando la reducción de la degradabilidad ruminal de la fracción proteica en dietas, una alternativa es la inclusión de tanino como un aditivo en la alimentación animal. Así, el objetivo de este estudio fue evaluar la relación entre el perfil de AA consumido y de la digesta duodenal en novillos recibiendo cantidades restringidas de dietas con niveles de inclusión de extracto tanífero de Acacia meanrsii.
Material y métodos
Se condujo un ensayo de digestibilidad in vivo utilizando cuatro novillos Holandés (158 ± 30 kg de peso corporal (PC)), implantados con cánula tipo “T” en el duodeno proximal. Los animales recibieron dietas restrictas a 2% del PC y compuestas por 55% de avena negra (Avena strigosa) como voluminoso y 45% de concentrado conteniendo como fuente proteica el salvado de soya e inclusión (0,9; 1,8 ó 2,7% de la materia seca (MS) total ofertada) o no de extracto tanífero de Acacia meanrsii.
Los animales fueron alojados en jaulas de metabolismo, organizados en un diseño Cuadrado Latino 4 × 4, en periodos experimentales de 15 días (10 días de adaptación y cinco días de colectas). Las muestras de las dietas y el total de heces fueron colectados diariamente del 10° al 15° día de cada período. Del 11° al 14° día fueron colectadas amuestras de la digesta duodenal en intervalos de ocho horas cada colecta. El análisis de la concentración de AA en las dietas y en la digesta duodenal fue realizada por Cromatografía Líquida de Alta Eficacia en fase reversa después de hidrólisis acida con HCl 6 N por 24 horas a 110ºC. El flujo de MS (g/día) en el duodeno fue estimado con base en la excreción fecal y en la concentración de fibra en detergente acido en la digesta duodenal. El perfil de AA en la digesta duodenal fue calculado con base en el flujo duodenal (g/día) de cada aminoácido y el flujo duodenal (g/día) del total de AA. La relación entre el perfil de AA consumido y el perfil de AA de la digesta fue analizada por la regresión linear simple. Fue testado si el intercepto fue diferente de cero o si el coeficiente de regresión fue diferente de 1 utilizando el test “t” de Student. Valores de P≤0,05 fueron considerados significativos.
Resultados y discusión
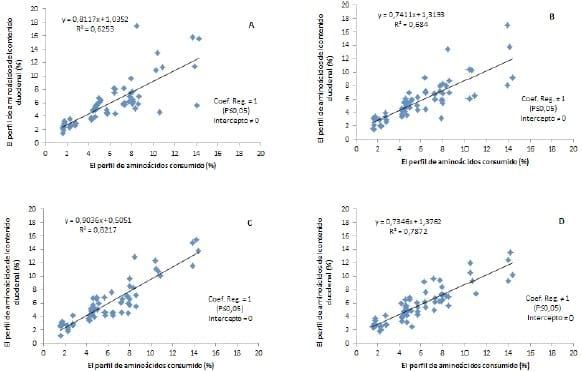
En la Figura 01 son presentadas las relaciones entre el perfil de AA consumido y el perfil de AA de la digesta duodenal de novillos consumiendo dietas sin o con inclusión de 0,9, 1,8 ó 2,7% de extracto tanífero, respectivamente. Se encontró una relación significativa (P≤0,05) entre los perfiles de aminoácidos ingeridos y digesta duodenal. Además, los coeficientes de determinación (r²) aumentaron con la inclusión de extracto tanífero variando de 0,63 en el tratamiento control para 0,82 cuando adicionado 1,8% de extracto en la dieta. Solamente el coeficiente de regresión de la ecuación del tratamiento 1,8% de inclusión de extracto tanífero fue estadísticamente igual a 1. En ese mismo nivel de inclusión de tanino el intercepto fue igual a cero (P>0,05) y en las demás ecuaciones los coeficientes de regresión e interceptores difirieron de 1 y cero, respectivamente (P≤0,05).

Figura 01.Relación entre los perfiles de aminoácidos consumidos y de la digesta duodenal de novillos alimentados con avena negra y concentrado. A) sin inclusión B) con 0,9%, C) con 1,8% y D) con 2,7% de extracto tanífero de Acacia mearnsii en la materia seca de la dieta.
Conclusiones
La inclusión de 1,8% de extracto tanífero de Acacia mearnsii en la dieta de novillos tiene el potencial de reducir la diferencia entre el perfil de aminoácidos totales que llega al duodeno en relación al perfil de aminoácidos totales consumido.
Referencias
ERASMUS, L.J.; BOTHA, P. M.; MEISSNER, H. H. 1994. Effect of protein source on ruminal fermentation and passage of amino acids to the small intestine of lactating cows. Journal of Dairy Science, v.77, p.3655-3665.