Introducción
La Organización Mundial de la Salud declaró al COVID-19 una pandemia mundial el 11 de marzo de 2020, pero el mundo aún se está recuperando de sus consecuencias. Originarios de China, los casos se extendieron rápidamente por todo el mundo, lo que provocó la implementación de estrictas medidas por parte de los gobiernos mundiales, en un esfuerzo por aislar los casos y limitar la tasa de transmisión del virus. Sin embargo, estas medidas han hecho añicos los pilares básicos de sustento de las economías del mundo moderno, a medida que el comercio y la cooperación globales sucumbieron al enfoque nacionalista y la competencia por los escasos suministros (1).
En tal sentido, los bloqueos provocados por el COVID-19 y las limitaciones en el comercio local e internacional, han cobrado su precio en la producción de alimentos, la producción animal, y la salud y el bienestar animal. De tal forma, las repercusiones del COVID-19 podrían exacerbar la inseguridad alimentaria, el hambre y la pobreza mundial. Los efectos podrían ser masivos en las poblaciones más vulnerables y las naciones más pobres (2).
En efecto, la pandemia actual ha tenido graves impactos en la producción animal, la salud y el bienestar de los animales, así como en la seguridad alimentaria y la economía mundiales. Las consecuencias directas e indirectas de ello incluyen la interrupción de la cadena de suministro de alimentos, la escasez de mano de obra y el acceso reducido a los mercados y servicios de salud veterinaria, además de restricciones de movimiento y limitaciones en el comercio internacional (2, 3, 4), con perturbaciones económicas, particularmente, en la cadena del sector de las proteínas (5).
De este modo, la aparición y rápida propagación del coronavirus (COVID-19) ha supuesto una amenaza sin precedentes para las sociedades y las economías. Evaluar el impacto de la pandemia en diferentes sectores económicos es importante, no solo para diseñar intervenciones de política que faciliten el proceso de recuperación, sino también para determinar el impacto diferencial entre países y sistemas alimentarios (6).
Es por esta razón que, en Francia, Perrin y Martin (7) muestran que la pandemia tuvo solo un impacto moderado en la ganadería y la lechería orgánicas, y la mayoría de los agricultores entrevistados informaron impactos mínimos. Se han identificado varios factores que indican resiliencia, tales como que (i) los agricultores eran casi autónomos para la alimentación del ganado; (ii) los agricultores no tuvieron que lidiar con la escasez de mano de obra, ya que se trataba principalmente de granjas familiares autónomas; y (iii) los agricultores pudieron reorganizar su estructura logística, y optaron por entregar leche y productos lácteos directamente a los supermercados, evitando las plataformas de subnivel.
Por su parte, la crisis ocasionada por la pandemia del COVID-19 está afectando la ganadería bovina en Colombia. Los primeros impactos y las medidas de mitigación a corto plazo se han hecho visibles en todos los eslabones de las cadenas de valor de carne y leche. Aunque la magnitud total de la emergencia se verá con el paso del tiempo, se vislumbran en su mayoría impactos negativos, que afectarán el rendimiento de las cadenas de valor mencionadas, en el futuro cercano (8).
En tanto, en la provincia de Santo Domingo de los Tsáchilas (Ecuador), se ha desarrollado el sector pecuario, que ocupa un 51,01 % de las hectáreas, y tiene la ganadería como principal rubro; por consiguiente, se ha implementado el mejoramiento genético, para aumentar la producción de leche y carne, tal como lo indican Zambrano y cols. (9).
Atendiendo estas consideraciones, la investigación planteada tuvo como objetivo evaluar el impacto del COVID-19 en la ganadería de leche de la provincia Santo Domingo de los Tsáchilas, habiendo caracterizado previamente el manejo sanitario de la unidad de producción. Con ello se busca contribuir al acervo histórico del efecto de una de las pandemias más severas en la actualidad, que tiene repercusiones en el sector pecuario, específicamente en la ganadería lechera.
Materiales y métodos
Ubicación
Esta investigación se realizó en ganaderías bovinas lecheras existentes en la provincia de Santo Domingo de los Tsáchilas, durante los meses de abril, mayo y junio de 2021. Estas correspondieron las siguientes delimitaciones geográficas: al norte y este, con Pichincha; al noroeste, con Esmeraldas; al oeste, con Manabí; al sur, con Los Ríos, y al sureste, con Cotopaxi, teniendo como coordenadas geográficas LS 0°40′ y LO 78°40′ (10) (figura 1).
Además, la zona de estudio se ubica a una altitud de 655 m s. n. m., y cuenta con temperatura promedio de 22,04 °C; precipitación media anual de 1626 mm, y 91 % de humedad relativa (11).
Figura 1. Mapa de la provincia Santo Domingo de los Tsáchilas, Ecuador Fuente: elaboración propia
Tipos y enfoques de la investigación
La investigación es de corte transversal. Además, fue realizada en un periodo determinado, es de tipo descriptivo, y en ella se detalla la situación actual en torno a la actividad reproductiva del ganado bovino, en una localidad determinada.
Métodos de la investigación
El método de análisis para la investigación es cualitativo longitudinal, y está compuesto de seis pasos. A saber: (i) formular un conjunto de propuestas de investigación para guiar la recopilación de información; (ii) diseñar una guía de entrevistas para discusiones de grupos focales; (iii) definir e identificar unidades específicas de análisis; (iv) conducir discusiones de grupos focales para validar y complementar las propuestas de investigación; (v) realizar entrevistas individuales semiestructuradas, con preguntas abiertas y la posibilidad de agregar preguntas de seguimiento, para obtener conocimientos más profundos sobre las propuestas seleccionadas; y (vi) triangular la evidencia derivada de cada sección, para generalizar conclusiones, todo de acuerdo a Acosta y cols. (6).
El enfoque cualitativo se apoyó en los aspectos del manejo sanitario de la unidad de producción: tipos de vacunas utilizadas, frecuencia de desparasitación de ganado joven y adulto, y tipos de productos utilizados para desparasitación. Por otro lado, se involucró el impacto del COVID-19 en la unidad de producción, por contagios del virus; la asistencia técnica y el financiamiento, y la disponibilidad de insumos.
Población y muestra
La población correspondió a 110 ganaderías productoras de leche, las cuales se encuentran identificadas en la base de datos de la Asociación de Ganaderos de Santo Domingo de los Tsáchilas. De ella se tomó una muestra representativa, utilizando la fórmula de AguilarBarojas (12):
Donde:
n: tamaño muestral.
N: tamaño de la población;
N = 110 productores de leche.
Z: valor correspondiente a la distribución de Gauss; Z (α = 0,05) = 1,96.
p: prevalencia esperada del parámetro a evaluar; p = 0,5.
q: 1 – p (si p = 50 %, q = 50 %).
i: error que se prevé cometer si es del 5 % (i = 0,05).
n = 86 productores a encuestar (con tasa de error del 5 %).
Procedimientos de la investigación
La provincia de Santo Domingo de los Tsáchilas cuenta con 110 productores de ganaderías lecheras, según los documentos asentados en las oficinas de la Asociación de Ganaderos de Santo Domingo de los Tsáchilas. Estos están distribuidos en diferentes sectores, y fueron visitados previamente por los autores, para garantizar que se contara con el tiempo suficiente para la extracción de la información. En coordinación con el comité de la Asociación de Ganaderos de Santo Domingo, se seleccionaron las 86 unidades de producción ganadera bovina lechera para la ejecución del estudio.
Se realizaron visitas, complementadas con las técnicas de recolección de información que se aplicaron, relacionadas con encuestas, entrevistas y sesiones de grupos. Mediante dichas técnicas se evaluaron el antes, el durante y el después de las distintas variables que permitieron conocer si el COVID-19 tuvo alguna consecuencia en la ganadería. El estudio pormenorizó detalles de la situación antes de la pandemia, y durante ella, con los propietarios o administradores de las ganaderías bovinas lecheras, con lo cual se aseguró la confiabilidad de la información recolectada.
Análisis estadístico
Las variables cualitativas fueron analizadas de acuerdo con sus frecuencias estadísticas: absolutas y relativas. Además, su distribución fue comparada mediante pruebas de chi cuadrado, así como su razón de verosimilitud, antes y durante la pandemia del COVID-19. Los análisis estadísticos se realizaron con el software estadístico SPSS V. 24 de IBM (13).
Resultados y discusión
Manejo sanitario de la unidad de producción
El plan sanitario está enfocado principalmente en el control, la prevención y la erradicación de los factores que afectan los diferentes sistemas de producción ganadera, y en reforzar las medidas de manejo y diagnóstico, para disminuir los factores de riesgo que afectan la sanidad del ganado. En ese sentido, los esquemas de manejo, vacunación y desparasitación son generales, y se deben adaptar e interpretar a cada predio o región en particular, ya que la epidemiología de una enfermedad varía de una región a otra, e incluso entre predios (14).
La comparación de las variables asociadas con el manejo sanitario del rebaño lechero, realizada mediante la prueba de chi cuadrado y la razón de verosimilitud, no arrojó diferencias significativas para las variables de la vacuna del complejo respiratorio, la vacuna de la leptospirosis, la frecuencia de desparasitación de bovinos adultos y el producto antiparasitario para bovinos jóvenes; mientras tanto, las variables del producto antiparasitario para bovinos adultos y la frecuencia de desparasitación de bovinos jóvenes, resultaron afectadas significativamente por la condición derivada de la pandemia del COVID19 (tabla 1).
Tabla 1. Grados de relación de variables asociadas con el manejo sanitario de la ganadería lechera en unidades de producción de la provincia de Santo Domingo de las Tsáchilas
Plan de vacunación
Todos productores de leche de la provincia de Santo Domingo de las Tsáchilas cumplen rigurosamente con la vacunación del rebaño contra la brucelosis y la fiebre aftosa. De forma similar, se cumple con la aplicación de la vacuna triple bovina. Dichas actividades no han sido descuidadas, a pesar de las limitaciones asociadas a la pandemia del COVID-19.
Con relación a la práctica de la vacunación del rebaño contra el complejo respiratorio, se puede observar en la figura 2A que, previos a la presencia del COVID-19, los porcentajes de la cobertura de vacunación del rebaño lechero alcanzaban el 54 %; en tanto, durante la pandemia, esa proporción se redujo al 44 %, diferencia que no resultó estadísticamente significativa de acuerdo con el análisis por chi cuadrado y la razón de verosimilitud (tabla 1). Sin embargo, es preocupante la tendencia hacia la reducción de la vacunación contra ese tipo de enfermedades, representada por una proporción del 10 % durante la pandemia de COVID19.
Figura 2. Frecuencias relativas de vacunación contra el complejo respiratorio (A) y la leptospirosis (B) en el rebaño lechero, antes de la pandemia del COVID-19, y durante ella, en la provincia de Santo Domingo de las Tsáchilas Fuente: elaboración propia
De forma similar, el impacto de la pandemia del COVID-19 sobre la vacunación contra la leptospirosis, tampoco resultó estadísticamente significativo (tabla 1). Se puede observar que en la época previa a la pandemia, la proporción de productores que realizaron la vacunación fue del 50 %, porcentaje que se redujo a 44 % durante la pandemia (figura 2B).
De acuerdo con el calendario sanitario de la FAO (15), las vacunas contra la fiebre aftosa, el carbúnculo hepático, la antirrábica, y la de mancha y gangrena, se realizan, una vez al año. En consecuencia, se puede inferir que las vacunaciones en Santo Domingo de las Tsáchilas contra la fiebre aftosa, y la triple bovina, durante la pandemia, se cumplieron de acuerdo con lo estipulado. De manera similar, la vacuna de la brucelosis, que se aplica en una única ocasión durante la vida del animal, también se administró. Aquello sucedió aunque, con relación a las vacunas contra el complejo respiratorio y la leptospirosis, la no vacunación del rebaño se redujeron en 10 y 6 %, respectivamente: dicha transición no se dio de manera significativa, probablemente por estar asociada a la falta de disponibilidad de los insumos, o por deficiencias en los servicios veterinarios.
Plan antiparasitario
Todos los productores que realizan la práctica de desparasitación de bovinos adultos, lo hacen con una frecuencia semestral; esto se mantuvo invariable, a pesar de la presencia de la pandemia del COVID-19 en la zona. Por su parte, la frecuencia de desparasitación de bovinos jóvenes, reflejada en la figura 3, muestra que antes de la pandemia, la frecuencia de la desparasitación anual y semestral son bien discrepantes, con valores de 17 y 83 %, respectivamente. Se puede afirmar que la aparición de la pandemia del COVID-19 indujo cambios importantes en el manejo de esta actividad, ya que la prueba de chi cuadrado y la razón de verosimilitud detectaron diferencias estadísticamente significativas (tabla 1). Lo anterior se vio reflejado en el incremento de la proporción de productores que realizaron la desparasitación de bovinos jóvenes con frecuencia anual, llegado a proporciones del 54 %, en detrimento de la frecuencia semestral, que disminuyó al 46 %, lo cual representa una reducción significativa de 37 % en esta última.
El impacto de la pandemia de COVID-19 sobre los productos utilizados para realizar dicha desparasitación fue evaluado con la comparación de proporciones, por medio de la prueba de chi cuadrado y la razón de verosimilitud. Estas mostraron diferencias significativas para el caso de los bovinos adultos, pero no en el caso de los bovinos jóvenes (tabla 1).
Figura 3. Frecuencias relativas del uso de desparasitante en bovinos jóvenes del rebaño lechero, antes de la pandemia del COVID-19, y durante ella, en la provincia de Santo Domingo de las Tsáchilas Fuente: elaboración propia
Los productores prefieren la desparasitación con ivermectina, tanto para la de bovinos jóvenes, como para la de los adultos. En el caso de los bovinos jóvenes, se observó una tendencia a un incremento no significativo en la proporción del uso de albendazol, el cual pasó del 13 % antes de la pandemia, al 19 % durante la pandemia (figura 4A). Mientras tanto, en los bovinos adultos, se evidenció una reducción estadísticamente significativa en la utilización de albendazol, en beneficio de la utilización de ivermectina, la cual pasó del 81 % de utilización antes de la pandemia, al 93 % de uso durante la pandemia (figura 4B).
Con todo, el brote de COVID-19 interrumpió negativamente las actividades relacionadas con el bienestar del ganado. Las restricciones repentinas en las actividades de los agricultores, trabajadores y profesionales veterinarios llevaron a aplicaciones insuficientes del trabajo agrícola de rutina diaria. Esa situación limitó la estrecha vigilancia de las necesidades de los animales y el estado sanitario y, por tanto, impidió la intervención adecuada para abordar los problemas emergentes. En tales condiciones, muchos productores han empezado a tener animales en exceso, lo cual ha aumentado el estrés relacionado con el hacinamiento, y ha devastado las funciones del sistema inmunológico de los animales. Por tanto, el riesgo de prevalencia de enfermedades animales se ha incrementado considerablemente, lo cual ha afectado el bienestar y la productividad de los animales de carga (16).
Figura 4. Frecuencias relativas del uso de productos antiparasitarios en bovinos jóvenes (A) y adultos (B) del rebaño lechero, antes de la pandemia del COVID-19, y durante ella, en la provincia de Santo Domingo de las Tsáchilas Fuente: elaboración propia

La condición de pandemia obligó a sustituir determinados desparasitantes en bovinos adultos; hubo detrimento de la utilización del albendazol, en beneficio de la ivermectina, en 12 %, durante la pandemia. Mientras tanto, con relación a los productos antiparasitarios en bovinos jóvenes, durante la pandemia se incrementó en 14 % el uso de albendazol, y esa misma magnitud disminuyó para la ivermectina. Esa situación, a la que dirigen las evidencias detectadas en los hallazgos de esta investigación, obedeció a la disponibilidad de los respectivos fármacos, que obligó a sustituirlos, ante la restricción impuesta a la movilización, el transporte y/o disponibilidad de los productos en las casas comerciales o laboratorios que los abastecen regularmente a los productores de Santo Domingo de las Tsáchilas.
En efecto, el uso de la ivermectina en animales adultos durante la pandemia ocurrió en un momento crítico, cuando, en su desesperación, la población recurrió al consumo de esa droga. Caly y cols. (17) informaron que la ivermectina, un medicamento ampliamente utilizado para el tratamiento de ciertas enfermedades parasitarias en humanos y ganado, inhibe la replicación del SARS-CoV-2 en cultivo celular; sin embargo, la Administración de Alimentos y Medicamentos (FDA) de los EE. UU. advirtió que la ivermectina utilizada en productos veterinarios, no debe usarse para la terapia humana (18).
Por su parte, Olaifa y cols. (19) indicaron que las repentinas restricciones sobre las actividades de los agricultores, trabajadores y profesionales veterinarios, han llevado a aplicaciones insuficientes del trabajo agrícola de rutina diaria. Tal situación limita un seguimiento estrecho de las necesidades de los animales y el estado de salud y, por tanto, impide la intervención adecuada para abordar cualquier problema creciente. En tales condiciones, el riesgo de prevalencia de enfermedades animales ha aumentado considerablemente, lo cual ha afectado el bienestar y la productividad. Algunos ganaderos han tenido que sacrificar a sus animales o aplicar medidas que entran en conflicto con el bienestar animal, como la inducción y el sacrificio, para disminuir la población y limitar el exceso de producción de carne y leche.
En concordancia, algunas asociaciones, como la Asociación Canadiense de Ganaderos, les han pedido a los agricultores que limiten su producción, para hacer frente al cierre de las plantas de procesamiento y las capacidades limitadas del mercado, considerando el impacto que podría tener el hecho de que muchos agricultores no obtuvieron los servicios veterinarios esenciales, incluidos los controles médicos de rutina, los medicamentos, las vacunas y las herramientas de prueba y diagnóstico sanitario (20).
Impacto del Covid-19 en la unidad de producción
Contagios por Covid-19
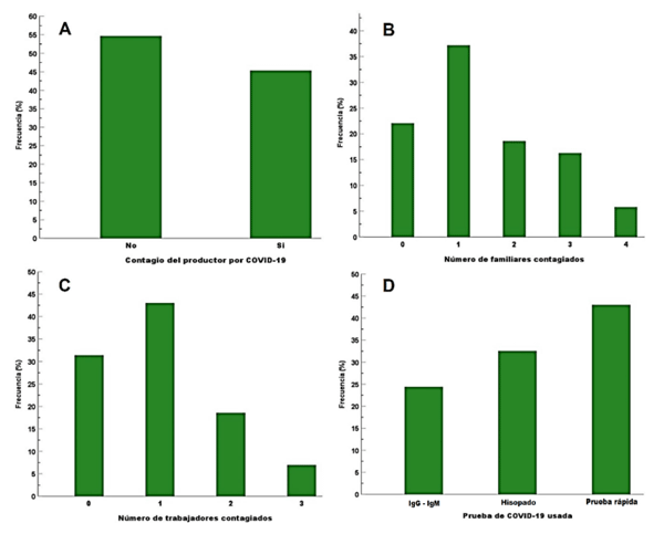
La afectación directa por la enfermedad del COVID-19 a los productores ganaderos de Santo Domingo de las Tsáchilas y su entorno de trabajo, se muestra en la figura 5. Se observa que, en el caso del productor, el 46 % de ellos resultaron contagiados por el COVID-19, mientras que el restante 54 % aún no ha mostrado síntomas de la enfermedad (figura 5A).
De modo similar, más del 75 % de los productores ha tenido, al menos, 1 familiar afectado por la enfermedad, y aproximadamente el 70 % de ellos ha tenido por lo menos 1 trabajador contagiado. En relación con el número de familiares, el 37 % de los productores tuvo 1 familiar contagiado; en el 19 % de los casos, hubo 2 afectados, mientras que, para los casos de 3 y 5 familiares contagiados, las proporciones fueron de 16 y 5 %, respectivamente (figura 5B). Por otro lado, en cuanto al número de trabajadores, la mayor frecuencia, con 44 %, estuvo asociada a 1 trabajador enfermo; en segundo lugar, se ubicó la proporción de 18 % para 2 obreros contagiados, y, finalmente, la de 7 % para 3 obreros contagiados (figura 5C). En relación con los métodos de diagnóstico de la enfermedad, se emplearon 3 técnicas. A saber: la técnica molecular IgG-IgM se realizó con una frecuencia del 25 %, el hisopado se utilizó en el 32 % de los casos estudiados, mientras que la prueba rápida se realizó con una frecuencia del 43 % (figura 5D).
Los sectores agrícolas, incluidos los de producción de carne y lácteos, son sectores que dependen en gran medida de la mano de obra. El brote de COVID-19 ha provocado una grave escasez de mano de obra, lo cual se atribuye a que muchos trabajadores han sido infectados y aislados en cuarentena; algunos trabajadores han dejado sus labores por causas sociales, como compromisos familiares, o para evitar el contagio; y mientras tanto, en las zonas fronterizas, algunos trabajadores no han tenido la capacidad de superar el control fronterizo y la suspensión de visas (21).
Figura 5. Frecuencias relativas de productores (A), familiares (B) y trabajadores (C) contagiados durante la pandemia del COVID-19, y método de detección (D), en la provincia de Santo Domingo de las Tsáchilas Fuente: elaboración propia

El diagnóstico La afectación a los productores, los familiares y el personal contratado en las unidades de producción por la enfermedad causada por el COVID-19, alcanzó niveles importantes en la comunidad de Santo Domingo de las Tsáchilas. Obviamente, una situación de este tipo impone restricciones en la eficiencia y efectividad de la realización de las labores establecidas dentro del plan de manejo de las fincas. Burkart y cols. (8) mencionan que las medidas de cierre han ocasionado efectos a corto plazo en la movilidad de las personas, lo cual ha dificultado que muchas de ellas lleguen a sus lugares de trabajo; y, además, agregan los autores, lo mismo correspondió a la limitación de movilización por la cuarentena impuesta por autoridades sanitarias para contener la dispersión, y, de modo análogo, para evitar el aumento de personas contaminadas, no solo en una región determinada, sino en todo el país.
En consecuencia, por un lado, el impacto en las unidades de producción se dio por medio de la afectación del personal que labora directamente en la finca. Por otro lado, no existió la posibilidad de reemplazo, debido a las limitaciones impuestas por el distanciamiento social y la cuarentena.
Desde el punto de vista de los trabajadores, la mayoría no tuvo acceso a licencia por enfermedad remunerada o a atención médica adecuada y, debido a los bajos salarios, estos tuvieron reservas limitadas que les permitieran dejar un empleo estable, por lo cual se vieron obligados a permanecer en sus sitios de trabajo, a pesar de los riesgos. En el caso de los trabajadores de los mataderos de carne y aves de corral, los riesgos tienden a incrementarse, dado que las labores se realizan a puertas cerradas, y ellos pueden infectarse a través de gotitas respiratorias en el aire, o al tocar superficies u objetos sucios, como estaciones de trabajo, mesas de descanso o herramientas (22).
Asistencia técnica y financiamiento
El impacto de la pandemia del COVID-19 sobre las actividades de las instituciones de asistencia técnica y de financiamiento en la provincia de Santo Domingo de las Tsáchilas, se muestra en la figura 6. La mayoría de los productores (75 %) consideró que las actividades de asistencia técnica no se vieron afectadas en las fincas de los productores ganaderos; mientras tanto, el 25 % tuvo obstáculos para recibir adecuadamente las orientaciones relacionadas con el desarrollo cotidiano de las actividades (figura 6A). Dicha apreciación se asoció a que la mayoría de los productores recibe asistencia técnica privada, y se presume que las orientaciones y recomendaciones fuero suministradas por vías no presenciales.
De forma paralela, el 65 % de los productores ganaderos consideró que la pandemia no afecto el financiamiento a las unidades de producción; sin embargo, el 35 % de ellos difirió de esa apreciación, y afirmó que el financiamiento a las labores de los ganaderos fue afectado por la pandemia (figura 6B).
Figura 6. Frecuencias relativas para la afectación de asistencia técnica (A) y del financiamiento (B) por efecto de la pandemia del COVID-19, en la provincia de Santo Domingo de las Tsáchilas Fuente: elaboración propia
En Colombia, muchos productores tienen prestamos pendientes con entidades bancarias, y su capacidad de pago depende de su productividad. De tal manera, una reducción en la productividad puede conllevar al impago de sus deudas; en ese sentido, el Gobierno creó un plan especial de financiamiento llamado “Colombia Agro Produce” (23).
Burkart y cols. (8) afirman que la pandemia del COVID-19 afecta las visitas a los predios por parte de los profesionales de extensión rural y asistencia técnica, lo cual, aunado al limitado acceso a los insumos productivos, genera una extensión rural distorsionada; y aquello, sin duda, afecta los niveles de productividad de los predios, y reduce de manera generalizada los ingresos agropecuarios, dificultando la capacidad de pago de los actuales créditos, sobre todo cuando los sistemas de asistencia técnica y de crédito agropecuario no se encuentren relacionados. Igualmente, podrían producirse dificultades en la transformación del sistema de extensión rural, debido a las medidas de salud pública relacionadas con la crisis (el confinamiento, la cuarentena), lo cual conduciría a actividades no presenciales, y, por tanto, menos prácticas, y con menor supervisión.
Disponibilidad de insumos
La figura 7 muestra la afectación de la disponibilidad de insumos para el productor, derivada del advenimiento de la pandemia de COVID-19. Se destaca que más del 76 % de los productores presentaron alguna dificultad para acceder adecuadamente a los insumos requeridos para el desarrollo de sus actividades; en contraste, una proporción del 24 % de los productores no tuvo limitaciones para la adquisición de los insumos (figura 7A).
En aquellos casos en los que los productores vieron afectada la disponibilidad de insumos, se argumentaron tres razones principales. A saber: la limitación de mayor importancia la constituyó el transporte, por el orden del 62 % de frecuencia; en segundo lugar, se combinaron conjuntamente el transporte y el vencimiento de los fármacos veterinarios utilizados, por el orden del 24 %; y finalmente, el siguiente rubro correspondió a la ausencia total del producto o insumo en el mercado, con una proporción de 14 % (figura 7B).
Figura 7. Frecuencias relativas para la afectación de la disponibilidad de insumos (A) y el tipo de afectación de dicha disponibilidad (B), por efecto de la pandemia del COVID-19, en la provincia de Santo Domingo de las Tsáchilas Fuente: elaboración propia

Los insumos agropecuarios son requeridos para la producción especializada de leche en los trópicos altos, y para la producción de carne bovina. En ese sentido, Burkart y cols. (8) mencionan que en algunas coyunturas pueden presentarse limitaciones para la compra de insumos, en los casos en los que los productores no cuenten con medios de transporte adecuados, pues en muchas regiones el servicio de transporte público está suspendido u operando con frecuencias reducidas. La disminución de la demanda de los productos derivados de la ganadería, y el aumento del precio de los insumos, afectan el poder adquisitivo de los productores, con lo cual se afecta negativamente la productividad. Como paliativo, las tiendas de insumos agropecuarios tuvieron que cambiar sus modelos operativos, en respuesta a las medidas ante el cierre, como la prestación de servicios de entrega a domicilio.
Lo anteriormente planteado concuerda con lo que se observó en la investigación realizada. Según esta, la situación particular ocurrida durante la pandemia, y descrita de manera profusa por el 75 % de los productores de Santo Domingo de las Tsáchilas, fue la dificultad para acceder a los insumos, lo cual fue condicionado por la disponibilidad de transporte de forma aislada, como causa principal, de forma conjunta con la vigencia de los fármacos, como segunda restricción, y, finalmente, por la falta de disponibilidad del insumo durante la pandemia. Aquello obviamente acabó limitando la realización de las respectivas practicas relacionadas con el manejo sanitario y reproductivo de la ganadería bovina lechera.
De acuerdo con los señalamientos de la FAO (22), dadas las condiciones de la pandemia del COVID-19, podría haber un impacto en los precios de importación y la disponibilidad de insumos importados y producidos en el país, además de dificultades en las zonas rurales para el acceso a ellos. En ese sentido, los bloqueos interrumpen y reducen la producción, y el aseguramiento de la calidad puede verse afectado. Además, las suspensiones en la logística conllevan a problemas de entrega, lo que genera escasez y, eventualmente, aumentos de precios a nivel del predio.
Asimismo, las medidas restrictivas de movilización impuestas por las autoridades en Ecuador, afectaron de forma significativa las labores dentro del plan de manejo de las ganaderías lecheras en Santo Domingo de las Tsáchilas. Específicamente, se alude con ello a las restricciones de movilidad durante la pandemia, tanto a las empresas transportistas como a los comercios; y a la modificación de los horarios de trabajo y, de modo análogo, al despacho de los fármacos hacia las áreas de producción.
Una fuerte disminución en el tráfico aéreo y de camiones ha limitado la capacidad de transportar productos frescos a largas distancias, afectando la capacidad de proporcionar suministros abundantes a las personas, muchas de las cuales han perdido repentinamente sus ingresos; todo ello supone un desafío importante. Paralelamente, hubo una contracción en la demanda en restaurantes, hoteles, escuelas, estadios, parques temáticos y cruceros cerrados. Sin duda, los bloqueos en las rutas de transporte son particularmente obstructivos para las cadenas de suministro de alimentos frescos, y resultan en mayores niveles de pérdida y desperdicio de alimentos (25).
En ese contexto, se puede señalar que el impacto de la pandemia en el sector ganadero es particularmente agudo, debido a la reducción del acceso a la alimentación animal, y la disminución de la capacidad de los mataderos, vinculada a las limitaciones logísticas y la escasez de mano de obra, ya que muchos trabajadores se han enfermado. En tanto, la industrialización y la consolidación de la producción de carne generan mayores riesgos para el surgimiento de pandemias globales como la del COVID-19, como se nota en el caso de los Estados Unidos, donde 4 empresas controlan el 82 % del envasado de carne, 4 manejan el 75 % de todo el procesamiento del cerdo, y 4 la mitad de todo el procesamiento del pollo (25).
En tanto, las restricciones a las actividades de importación/exportación, y a los movimientos locales, han impedido que los agricultores accedan a los insumos de producción ganadera, y apenas les han brindado oportunidades de comercialización limitadas. En ese escenario, la limitación de los movimientos y la interrupción de las rutas comerciales nacionales e internacionales, conducen a una disminución sustancial de los materiales e instalaciones vitales para la ganadería, como los materiales para piensos, al igual que las existencias de repuestos, medicamentos y vacunas, y aditivos para piensos y otros insumos ganaderos (24).
Hashem y cols. (20) indican que el brote de COVID-19 interrumpió la sostenibilidad de la cadena ganadera en diferentes áreas, desde el proceso de producción, hasta la comercialización y el consumo de los productos animales. El principal obstáculo logístico de la producción fue la escasez de acceso a los insumos agrícolas, como los recursos de alimentación animal, los movimientos de ganado para pastos y agua, y los equipos para los animales, como máquinas de ordeño, vacunas y otros insumos de producción fundamentales. De hecho, los llamados a quedarse en casa y la distancia social han afectado los servicios dependientes humanitarios en las granjas, teniendo efectos en el trabajo rutinario y la ganadería: bajo número de jornaleros, visitas y servicios veterinarios, y de trabajadores laborando en el procesamiento de los productos.
Varias empresas que trabajan en vacunas, productos de salud animal, aditivos para piensos, kits de análisis de leche y repuestos de equipos de pasteurización para productores de carne y lácteos en pequeña escala, han indicado que las reducciones en la fluidez y las divisas fueron otros factores importantes que afectaron la sostenibilidad de la industria. Lo mismo correspondió a la cadena de suministro de ganado, específicamente en países en desarrollo. No hay duda de que tales reducciones en los insumos de producción y su comercio pueden fácilmente obstaculizar la productividad de los animales, la rentabilidad de los productores de ganado (específicamente de los pequeños productores de carne y productos lácteos), y la rentabilidad y sostenibilidad comercial de dichas empresas (26).
En último lugar, cabe referir lo indicado por López-Ridaura y cols. (27), quienes manifiestan que se espera que la pandemia provoque cambios estructurales a largo plazo en todo tipo de actividades humanas. El sector agrícola, y, más ampliamente, el agroalimentario, no se ha librado de ese fenómeno, y ha jugado un papel crucial en la magnitud del impacto de la pandemia. Sin duda, este atravesará transformaciones fundamentales en el futuro, debido a dicho fenómeno global.
Conclusiones
En el presente estudio, se observó que el 46 % de los productores resultó contagiado por el COVID-19, y más del 70 % de ellos ha tenido, al menos, un familiar y un trabajador afectado por la enfermedad. Asimismo, la pandemia de COVID-19 obligó a los productores a modificar sus planes de trabajo en cuanto al manejo sanitario de la ganadería bovina lechera; particularmente sus planes de inmunización y estrategias de desparasitación, tanto por los fármacos empleados, como en cuanto atañe a las frecuencias empleadas. Sin duda, se trata de medidas instauradas para mejorar la resiliencia y la capacidad de adaptación ante la enfermedad.