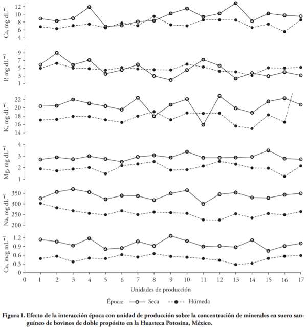
En la Huasteca Potosina no se han realizado diagnósticos integrales sobre los minerales en los bovinos de doble propósito en pastoreo a través del año, por lo cual el objetivo del presente estudio fue determinar la concentración e interrelación de minerales en agua, forraje y suero de bovinos de doble propósito. Para ello, se recolectaron 84 muestras de agua, 99 muestras de forraje y suero de 463 bovinos en 17 unidades de producción de la Huasteca Potosina, en la época húmeda (agosto y septiembre) y seca (abril y mayo) del 2008. Las concentraciones de Ca, P, Mg, K, Na, Fe, Zn, Cu y Mn se midieron en agua, forraje y suero. El diseño experimental fue completamente al azar y los datos se analizaron con el modelo lineal general. Los efectos de unidad de producción (UP), época (Ep), edad de los bovinos (Ed) y sus interacciones fueron evaluados. En el agua hubo mayor (p≤0.01) contenido de Ca, Mg, K, Na, Fe y Zn en la época seca que en la húmeda. En los forrajes, las concentraciones de Ca, P, Mg, K y Zn fueron deficientes en ambas épocas. En el suero el contenido de Ca, Mg, K, Na y Cu fue mayor en la época seca que en la húmeda, y en el suero de los bovinos jóvenes hubo más P (p≤0.05) que en los adultos. La interacción UP*Ep afectó (p≤0.01) el contenido de Ca, P, Mg, K, Na y Cu en el suero; la interacción UP*Ed influyó (p≤0.01) en la concentración de Ca; y los bovinos tuvieron deficiencia de Ca, Na, Cu, Fe y Zn durante la época de lluvias. Con excepción del P en la época seca (R2 = 0.64; p≤0.01), el R2 fue mayor a 0.90 (p≤0.01) para predecir las concentraciones séricas de Ca, Mg, K, Na y Cu en ambas épocas y de P, Fe y Zn en la época húmeda. Los bovinos de doble propósito de la Huasteca Potosina presentan desequilibrios minerales, principalmente durante la época de lluvias, y las áreas de pastoreo no proveen los minerales suficientes para cubrir sus necesidades.
Palabras clave: minerales, bovinos, forrajes, época, Huasteca Potosina




Adediji, O., and N. F. Suttle. 1999. Influence of diet type, potassium and animal species on the absorption of magnesium by ruminants. Proc. Nutr. Soc. 58: 31A.
Allan, J. E. 1971. The preparation of agricultural samples for analysis by atomic absorption spectroscopy. Varian Techtron. USA. 15 p.
American Public Health Association, Water Environment Federation, American Water Works Association (APHAWEF-AWWA). 1996. Standard methods for the examination of water and wastewater. 19 ed. American Public Health Association. USA. 165 p.
Armienta, T. G. T. 1995. Perfil mineral del suelo, forraje y tejidos del ganado en agostaderos del Estado de Nuevo León. Tesis de Doctorado en Ciencias. Universidad Autónoma de Nuevo León. México. 132 p.
Bernal, E. J. 1994. Pastos y Forrajes Tropicales: Producción y Manejo. 3 ed. Banco Ganadero. Colombia. 323 p.
Bremmer, I., W. R. Humphries, M. Phillipo, M. J. Walker, and P. C. Morrice. 1987. Iron-induced copper deficiency in calves: dose-response relationships and interactions with molybdenum and sulphur. Anim. Prod. 45: 403-414.
Cabrera, T. E. J., R. E. E., Sosa, R. A. F. Castellanos, B. A. O. Gutiérrez, y S. J. H. Ramírez. 2009. Comparación de la concentración mineral en forrajes y suelos de zonas ganaderas del Estado de Quintana Roo, México. Vet. Méx. 40: 167-179.
Depalos, L., S. Godoy, C. F. Chico, y J. Ordoñez. 2009. Nutrición mineral en sistemas ganaderos de las sabanas centrales de Venezuela. Zoot. Trop. 27(1): 25-37.
Chester-Jones, H., J. P. Fontenot, H. P. Veit, and K. E. Webb. 1989. Physiological effects of feeding high levels of magnesium to sheep. J. Anim. Sci. 67: 1070-1081.
Domínguez-Vara, I. A., y M. Huerta-Bravo. 2008. Concentración e interrelación mineral en suelo, forraje y suero de ovinos durante dos épocas, en el Valle de Toluca, México. Agrociencia 42: 173-183.
Fick, K. A., L. R. McDowell, P. H. Miles, N. S. Wilkinson, J. D. Funk, J. H. Conrad, y R. Valdivia. 1979. Métodos de análisis de minerales para tejidos de plantas y animales. Universidad de Florida. Gainesville, FL. USA. 135 p.
Frías, H. J. T., J. J. Peña, y J. Ocampo. 1993. Comparación de dos metodologías de remoción de leña en árboles de mezquite (Prosopisla evigata) en zonas áridas del norte de Guanajuato. Manejo de Pastizales 1: 1-8.
García, E. 1987. Modificaciones al Sistema de Clasificación Climática de Köppen. 4ª ed. México. D. F. 217 p.
Guillen, J., Jiménez-Ferrer, G., Nahed, T. J., Soto- Pinto, L. 2001. Ganadería indígena en el norte de Chiapas. Hernández, L. (ed). Historia Ambiental de la Ganadería en México. Instituto de Ecología AC. Xalapa, Veracruz, México. pp: 210-223.
Healy, W. B., P. C. Rankin, and H. M. Watts. 1998. Effect of soil contamination on the element composition of herbage. J. Anim. Sci. 17: 59-61.
Humphries, W. E., I. Bremmer, and M. Phillipo. 1985. The influence of dietary iron on copper metabolism in the calf. In: Mills, C. F., I. Bremmer, and J. K. Chesters (eds). Proc. Fifth Int. Symp. on Trace Elements in Man and Animals. Commonwealth Agricultural Bureaux, Farnham Royal, UK. pp: 367-370.
Instituto Nacional de Estadística y Geografía (INEGI). 2002. Síntesis de Información Geográfica del Estado de San Luis Potosí. México. 150 p.
Instituto Nacional de Estadística y Geografía (INEGI). 2007. Censo agropecuario. www.inegi.org.mx. (Consulta: junio, 2011).
Instituto Nacional de Estadística y Geografía (INEGI). 2010. Territorio nacional. www.inegi.org.mx. (Consulta: marzo, 2011).
Instituto Nacional para el Federalismo y Desarrollo Municipal (INAFED). 2005. San Luis Potosí. www.inafed.gob.mx. (Consulta: julio, 2011).
Kabata-Pendias, A., and H. Pendias. 2001. Trace Elements in Soil and Plants. 3 ed. CRC Press. USA. pp: 310-317.
Kumaresan, A., K. M. Bujarbaruah, K. A. Pathak, I. Brajendra, and T. Ramesh. 2010. Soil-plant-animal continuum in relation to macro and micromineral status of dairy cattle in subtropical hillagro ecosystem.Trop. Anim. Health Prod. 42: 569-577.
McDowell, L. R. 1992. Minerals in Animal and Human Nutrition. Academic Press. USA. 524 p.
McDowell, L. R., y J. D. Arthington. 2005. Minerales para Rumiantes en Pastoreo en Regiones Tropicales. Universidad de Florida. IFAS. USA. pp: 6-47.
Minson, D. J. 1990. Forages in Ruminant Nutrition. Academic Press, San Diego, USA. 463 p.
Morales, A. E., V. I. Domínguez, M. González, G. Jaramillo, O. Castelán, N. Pescador, y B. M. Huerta. 2007. Diagnóstico mineral en forraje y suero sanguíneo de bovinos lecheros en dos épocas en el valle central de México. Téc. Pec. Méx. 45: 329-344.
Murphy, M., C. Davis, and G. McCoy. 1983. Factors affecting water consumption by Holstein cows in early lactation. J. Dairy Sci. 66: 35-38.
NRC. 1974. Nutrient and Toxic Substances in Water for Livestock and Poultry. National Academic of Sciences. Washington, DC. USA. 95 p. NRC. 2005. Mineral Tolerance of Animals. 2 ed. The National Academies Press. USA. 292 p.
Prentice, A. M. 2008. Iron metabolism, malaria and other infections: what is all the fuss about? J. Nutrition. 138: 2537- 2541.
Puls, R. 1994. Minerals Levels in Animal Health. Diagnostic Data. Sherpa International. Clarbrook, Canada. pp: 83-109.
Rojo-Rubio, R., J. Vázquez-Armijo, P. Pérez-Hernández, G. D. Mendoza-Martínez, A. Z. Salem, B. Albarrán-Portillo, A. González-Reyna, J. Hernández-Martínez, S. RebollarRebollar, D. Cardoso-Jiménez, E. Dorantes-Coronado, and J.Gutierrez-Cedillo. 2009. Dual purpose cattle production in México. Trop. Anim. Health and Prod. 41: 715-721.
Sistema de Información Agroalimentaria y Pesquera (SIAPSAGARPA). 2011. Dirección de Ganadería. www.siap.gob. mx. (Consulta: abril, 2011).
Statistical Analysis System (SAS). 2002. Software (Versión 9.0). User´s Guide. N.C., USA. 315 p.
Steel, R. G. D., J. H. Torrie, and D. A. Dickey. 1997. Principles and Procedures of Statistics: A Biometrical Approach.3rd ed. McGraw-Hill Series in Probability and Statistics. USA. 622 p.
Suttle, N. F. 2010. Mineral Nutrition of Livestock. 4a ed. CABI. U.K. pp: 21. Torres, R., R. Aparicio, L. Astudillo, y J. Carrasquel. 2009. Dinámica de componentes físico químicos del agua en las lagunas de abrevaderos en sabanas hiperestacionales de bancos, bajíos y esteros de Mantecal, estado Apure. Zoot. Trop. 27(4): 437-462.
Turriza-Chan, J. I., A. E. Castellanos-Ruelas, J.G. Rosado-Rubio, M. Heredia-Aguilar, y E. Cabrera-Torres. 2010. Diagnóstico de la concentración mineral en tejido óseo de ovinos en pastoreo en el Estado de Yucatán, México. Agrociencia 44: 471-480.
Underwood, E. J. 1981. Mineral Nutrition of Livestock, 2nd ed. Commonwealth Agricultural Bureaux, Farnham Royal, Slough, UK. 500 p.
Underwood, E. J., and N. F. Suttle. 1999. The Mineral Nutrition of Livestock. 4th ed. CABI Publishing. London, England. pp: 17-47.
Ungerfeld, E. 1998. Factores que afectan el contenido de minerales en pasturas naturales y el estado nutricional de vacunos y ovinos de Uruguay. INIA. Uruguay. 212 p.
Vázquez, A. J. F., R. Rojo, R. M. García, D. López, A. F. Salem, I. A. Domínguez, N. Pescador, and L. Tinoco. 2011. Effect of season on serum Cu and Zn concentrations in crossbred goats having different reproductive status under semiarid rangeland conditions in southern Mexico State. Trop. Subtrop. Agroecosy. 14: 331-335.
Villa-Herrera, A., M. E. Nava-Tablada, S. López-Ortiz, S. Vargas-López, E. Ortega-Jiménez, y F. Gallardo-López. 2009. Utilización del guácimo (Guazumaulmifolia lam.) como fuente de forraje en la ganadería bovina extensiva del trópico mexicano. Trop. Subtrop. Agroecosys. 10: 253-261.
Vivas, M. E. F., R. J. G. Rosado, A. F. R. Castellanos, M. A. Herrera, y E. J. Cabrera-Torres. 2011. Contenido mineral en forrajes en predios de ovinocultores del Estado de Yucatán. Rev. Mex. Cienc. Pecu. 2(4): 465-475.
Waldron, K. J., J. C. Rutherford, D. Ford, and N. J. Robinson. 2009. Metalloproteins and metal sensing. Nature 460: 823- 860.
Wayne, C. C. 1964. Symposium on nutrition of forages and pastures: Collecting samples for representative of ingested material of grazing animals for nutritional studies. J. Anim. Sci. 23: 265-270.
Whitehead, C. D. 2000. Nutrient Elements in Grassland. SoilPlant-Animal Relationships. CABI Publishing International. University Press, Cambridge. U.K. pp: 146-153.





