Introducción
El efecto de la luna ha sido a través de los años motivo de curiosidad, superstición y de interés científico, aún en la pragmática y científica sociedad actual (12). Las células de los mamíferos parecen tener relojes biológicos internos (8); se conocen tres componentes principales de marcadores del organismo: 1) las señales de entrada, como la luz en el caso del ojo o factores hormonales para los tejidos periféricos; 2) el mecanismo del reloj en sí y 3) la acción de genes. Popularmente, se cree que el cambio de la fase de la luna influye en el momento en que se producen los partos (5); esta creencia tiene sus particularidades culturales y geográficas. Las diferencias en el magnetismo terrestre, la alteración de los niveles de melatonina producida por las variaciones en la iluminación lunar, las “mareas” provocadas por la fuerza de gravitación en el líquido amniótico obligan pensar en el posible efecto de la luna sobre la presentación de los partos; de acuerdo a las leyes de la física, la única posibilidad es la gravedad. Ciertamente, la atracción gravitatoria lunar afecta la vida en la tierra a través de las mareas, aunque (5) establecen que las fuerzas de la marea que experimentan los humanos y animales en sus cuerpos son insignificantes. Se manejan tres teorías para explicar la relación entre las fases lunares y la ruptura espontánea de las membranas fetales y por lo tanto, el desencadenamiento de la labor de parto (12,13). La 1ra es la “teoría de la marea biológica” que considera que por la composición del organismo (70% de agua) puede ser influenciado por la luna. La 2da, establece que los cambios de presión barométrica pueden afectar el comportamiento del ganado y el inicio de trabajo de parto y la 3ra, establece que el efecto se da directamente en el tiempo de la concepción ya que marca cambios en el comportamiento reproductivo y la presencia de estro. Se ha reportado que un 87,2% de los partos se iniciaron fuera de los días exactos de una fase; el 3,6% coincidió con el día exacto de luna llena, el 3,4% con el cuarto menguante, el 3% con el cuarto creciente y el 2,9% con la luna nueva; no constatan influencia lunar en ninguna de las fases sobre el desencadenamiento del parto (9). Se ha establecido que las fases lunares no influyen en la presentación del parto de las vacas lecheras (1), sin embargo los cambios conductuales y signos nerviosos que provocan los ritmos lunares, pueden influir claramente en las vaquillas gestantes acentuando variaciones hormonales y provocando el parto, por estimulo del el eje hipotálamo-hipofisiario-suprarrenal fetal y las secreciones de oxitocina, relaxina y prostaglandinas. Otro aspecto analizado es la estacionalidad en la incidencia de partos (3), los bovinos son considerados poliéstricos anuales, sin embargo, existe un patrón estacional con la ocurrencia de partos; lo que atañe más a la fecha del servicio a la vaca, que a la ciclicidad; el desempeño reproductivo de las vacas, está bajo la influencia de factores ambientales, específicamente, la temperatura y humedad relativa dos días antes del servicio efectivo y se relaciona con la posterior sobrevivencia del embrión, establecimiento de la preñez, longitud y termino de la gestación (4). Existe asociación de los animales y sistemas de producción con la biometeorología, lo que consideran clave para conocer la respuesta de los animales ante los desafíos ambientales y su repercusión en la producción (4, 6). Por las diversas opiniones sobre el tema, el objetivo de este trabajo fue establecer si la incidencia de partos en bovinos lecheros se ve influenciado por las fases de la luna o época del año.
Materiales y métodos
El presente estudio se realizó en dos establos: E1) Establo ubicado en el Valle del Guadiana (Durango) a una latitud de 23º 57' 23.85” N, longitud 104° 34' 02.11” O, altitud de 1877 msnm. Clima semiseco templado (Bs1k). Temperatura promedio: de 18 a 22 ºC (2). Precipitación pluvial es de 513.3 mm, Humedad Relativa 14%; de donde se obtuvo información de los registros de vacas Holstein donde se registraron 242 partos. E2) Establo ubicado el municipio de Torreón de Zaragoza) a una latitud de 25º 32' 40” N, longitud 103° 26' 31” O, altitud de 1128 msnm. Con un clima subcálido BW(h), precipitación pluvial <400 mm, con temporada de lluvia de junio a septiembre donde ocurre el 54% de la lluvia media anual (7), de donde se registraron 115 partos. Se elaboró una base de datos para analizar la incidencia de partos de acuerdo a la fase de la luna y época del año. El análisis de los datos se realizó mediante estadística no paramétrica (ji cuadrada), el efecto de la época se determinó con un ANOVA y la diferencia entre las medias se estableció con una prueba Tukey (10).
Resultados y discusión
En el cuadro 1, se observa la incidencia de partos al día exacto del cambio de fase, la fase de cuarto creciente (C) fue diferente (P>0.05) a la fase de luna llena (LL), cuarto menguante (M) y luna nueva (N).
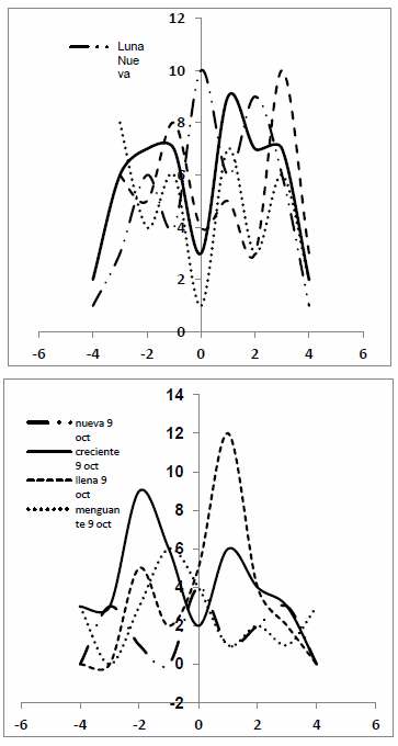
Se observó diferencia (P<0.05) en los días al cambio de la fase lunar. En cuanto a la frecuencia en la presentación de partos, 85% de estos ocurrió fuera de los días exactos de una fase (Cuadro 1); 15.1% coincidió con el día exacto de cambio de fase, 24.4% de los partos ocurrieron de uno a dos días antes del cambio de fase, y el 29.3% ocurrió de uno a dos días después (Figura 1).

No se encontró diferencia entre fase lunar y la incidencia de parto (P>0.05). En la fase de luna nueva cuya duración es de 8 días, ocurrió el 22.4% (80/357) de partos, cuarto creciente (duración 7 días con 9 h) 28.0% (100/357), luna llena (duración 7 días con 9 h) 25.7% (92/357) y cuarto menguante (duración 7 días con 9 h) 23.8% (85/357) no hubo diferencia (P< 0.05) entre las fases de la luna. Independiente de la fase lunar, la incidencia de partos fue mayor tres días antes del cambio de fase (41.9%) y donde hubo menor número de partos fue cuatro días después del cambio de fase lunar (6.4%). El 15.1% del total de los partos ocurrieron exactamente el día de cambio de la fase lunar (Figura 1). Por lo tanto, más que la fase lunar son importantes los días previos o posteriores a los cambios de la fase lunar (11). Existen reportes de que las fases lunares no influyen en la presentación del parto de las vacas lecheras (8), pero si se ha encontrado efecto entre días anteriores o posteriores al cambio de fase lunar; ante lo cual se considera que la presión atmosférica de la luna llena (31.5 mph) tenga alguna influencia, ya que cuando ésta presión disminuye, aumenta la incidencia de partos. No se encontró un efecto lunar en el desencadenamiento del parto en función de la paridad (9, 11).

Figura 1. Incidencia (horizontal) y frecuencia (vertical) de partos previo y después del cambio de fase lunar (0 = cambio de fase lunar), en el establo 1 (E1, izq) y establo 2 (E2, der).
Conclusiones
No se encontró efecto de la fase lunar sobre la incidencia de partos, en este caso los partos coinciden con los días previos y después del cambio de fase, es probable que el manejo de cada hato influya en la incidencia de partos, dado que la distribución de los mismos es diferente en cada establo. Es importante también hacer notar, que las condiciones geográficas son distintas, por lo que cabe pensar en la influencia de los factores climáticos también.
Referencias
1. Caballero de la Calle, J.R. (2003). Influencia estacional y de las fases lunares sobre la duración de la gestación en novillas de la raza de lidia.VI Simposium del Toro de Lidia. Instituto Tecnológico Agrario de Castilla y León, España.
2. CEVAG. (2015). Estación meteorológica Valle del Guadiana. Durango, Dgo.
3. Ingraham, R.H., Gillette, D.D. y Wagner, W.D. (1974). Relationship of Temperature and Humidity to Conception Rate of Holstein Cows in Subtropical Climate. J. Dairy Sci. 57(4):476-481.
4. López-Gatius, F. (2013). Approaches to increase reproductive efficiency in artificially inseminated dairy cows. Anim. Reprod. 10(3):143-147
5. Mirás, C.D., Mirás-Calvo, M.A., Sánchez-Rodríguez, B. y Sánchez-Rodríguez, E. (2003). Influencia de las fases de la Luna en los nacimientos: hechos y creencias. VI Congreso Gallego de Estadística e Investigación de Operación AMS: 62P10. Vigo, España.
6. Nienaber, J.A. y Hahn, G.L. (2007). Livestock production system management responses to thermal challenges. Int. J. Biometeorol. 52:149-157.
7. PEA. Programa Especial de Agua 2011-2017. Programa Especial de Agua Potable, Drenaje y Saneamiento. 2011-2017- Coahuila de Zaragoza. México. www.coahuila.gob.mx
8. Ryotaro Wake, Takuya Misugi, Kenei Shimada y Minoru Yoshiyama. (2010). The effect of the gravitation of the moon on frequency of birhts. Environ. Health Insights. 4:65-69.
9. Saiz-Puente, M.A. (2009). Influencia de las fases lunares en el inicio de los partos espontáneos. Matronas Prof. 10(2):20-24.
10. SAS. Statistical Analysis System ver. 9. SAS Institute Inc. Cary, North Carolina. USA.
11. Soto-Herrero, V., Postigo-López, P., Rubio-Cava, J., Ruda-Maiquez, A., Bru-Espín, C. y Castellón-Caicedo, A. (2007). Influencia de las fases lunares en el inicio del parto, en el hospital universitario virgen de la Arrixaca. Enfermería Global. No. 11 p 1-7. ISSN 1695-6141.
12. Stern, E.W., Glazer. G.L, y Sanduleak, N. (1988). Influence of the full and new moon on onset of labor and spontaneous rupture of membranes. J. Nurse Midwifery. 33(2):57-61.
13. Mamani-Ortiz, Y., Caero-Suarez, R.I., Rojas-Salazar, E.G., Choque-Ontiveros, M.C. (2013). Influencia lunar y barométrica sobre los partos y la rotura espontanea de membranas en parturientas del hospital materno infantil German-Urquidi. Gac. Med. Bol. 36(1): 31-34.