INTRODUCCIÓN
La producción de leche y la ingesta de pasturas de las vacas lecheras que reciben forrajes y concentrados es difícil de predecir porque muchos factores afectan la tasa de sustitución entre forraje y concentrados, y porque la regulación de la ingesta cuando se emplean concentrados es principalmente una regulación metabólica (Faverdin et al., 1991, Delagarde et al., 2011b). La tasa de sustitución es la disminución de la ingesta de forraje relacionada con cualquier aumento en la ingesta de concentrado, expresada así como una relación (kg MS/kg MS). Medir la tasa de sustitución significa medir la ingesta voluntaria de forraje para diferentes niveles de suplementación de concentrado, asumiendo así que el forraje está disponible ad libitum. Es importante predecir la tasa de sustitución debido a su gran efecto en la ingesta total de MS, por lo tanto en la ingesta de energía y en la respuesta de la producción de leche a la suplementación (kg de leche / kg de concentrado). En el pastoreo, la tasa de sustitución depende de factores ya conocidos afectan la regulación de la ingesta (características de la vaca, el forraje y el concentrado), pero también de factores específicos del manejo del pastoreo (asignación de pasturas, altura de la pastura) que también afectan la ingesta. El objetivo de este documento es recordar algunos de los principales factores que afectan la tasa de sustitución y describir la relación general entre la tasa de sustitución y los factores de manejo del pastoreo, tanto para los concentrados como para los forrajes utilizados como suplementos. El rango de respuestas de la producción de leche a los suplementos, generalmente impulsados por la tasa de sustitución, también se describirá en una amplia gama de prácticas de manejo de pastoreo.
1. Factores que regulan la tasa de sustitución entre forrajes en sistemas de alimentación estabulado
Los factores que regulan la tasa de sustitución entre el forraje y los concentrados con las vacas lecheras alimentadas en establos se han investigado exhaustivamente (Faverdin et al., 1991). En general, la tasa de sustitución se correlaciona positivamente con el balance energético neto de las vacas, a través de la regulación metabólica de ingesta. Por lo tanto, la tasa de sustitución es mayor en vacas de baja producción que en vacas de alta producción y mayor en forrajes de alta calidad que en forrajes de baja calidad (Faverdin et al., 1991; INRA, 2018). Cuando se alimenta con un concentrado para cubrir los requisitos energéticos de la producción potencial de leche, la tasa de sustitución observada varía entre 0.3 para vacas de alta producción alimentadas con forraje de baja calidad, a 0.7 para vacas de baja producción alimentadas con forraje de alta calidad (INRA, 2018). Con un potencial de producción de leche similar, la tasa de sustitución es ligeramente menor en primíparas que en vacas multíparas debido a su menor capacidad de ingesta, reduciendo su ingesta y el balance energético. La composición del concentrado también puede tener un impacto en la tasa de sustitución, pero únicamente de forma marginal en comparación con los efectos primarios de las características de la vaca y de la calidad del forraje. La tasa de sustitución puede ser mayor en concentrados ricos en fibra que en concentrados pobres en fibra, debido al efecto de relleno de la fibra de los concentrados. La tasa de sustitución puede ser menor en los concentrados con alto contenido de proteínas que en los concentrados con bajo contenido de proteínas, debido al efecto positivo de la concentración de proteína bruta en la dieta en la ingesta voluntaria (RicoGómez y Faverdin, INRA, 2018).
2. Factores que regulan la tasa de sustitución y respuesta en producción de leche en vacas en pastoreo suplementadas con concentrados
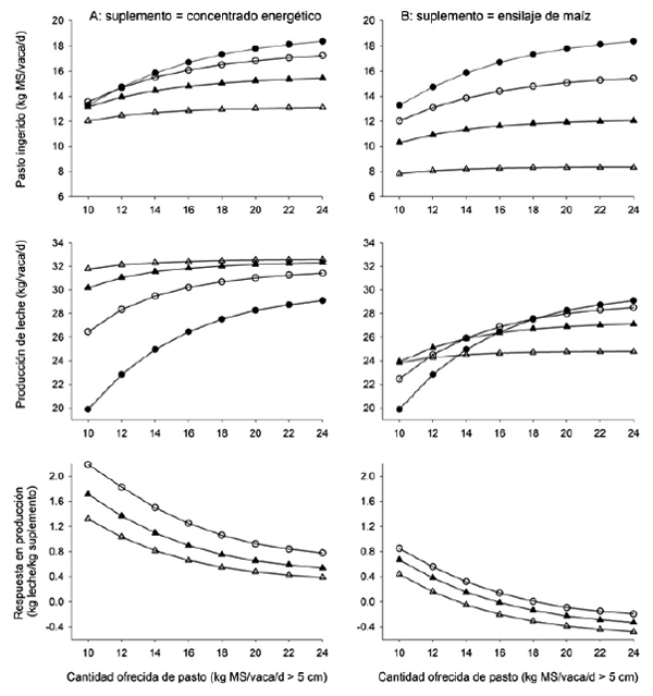
La tasa de sustitución entre pasturas consumidas y el concentrado se relaciona positivamente con el balance de energía de las vacas en pastoreo antes de que reciban el concentrado, con pendientes muy similares (Figura 1, Faverdin et al., 1991). Las revisiones de la literatura también muestran la relación inversa conceptual entre la respuesta de la producción de leche y la tasa de sustitución entre pasturas y el concentrado en condiciones de pastoreo (Stockdale, 2000). En esa revisión (condiciones australianas), la respuesta de la producción de leche es cercana a 0 kg de leche/kg MS de concentrado cuando la tasa de sustitución es muy alta (0.8 kg/kg), y aumenta linealmente al disminuir la tasa de sustitución, hasta 1.5 kg de leche/kg de MS de concentrado para la tasa de sustitución cercana a 0 (Figura 2). La tasa de sustitución se relaciona positivamente con la ingesta de pasturas y, por lo tanto, con la asignación de pasturas, de 0 a 0.6 entre condiciones de pastoreo muy severos a laxos, también dependiendo del nivel de suplementación de concentrado, debido a un mayor suministro de energía para niveles crecientes de suplementación con concentrado (Figura 2 y Figura 3). Como el modelo predictivo de tasa de sustitución del INRA (2018) se basa en el balance de energía, toma en cuenta las condiciones de pastoreo, la tasa de sustitución se reduce al disminuir la asignación de pasturas (Delagarde et al., 2011b, Figura 3). Finalmente, el gran efecto de la asignación de pasturas en la tasa de sustitución lleva a una respuesta de producción de leche muy alta en relación a la suplementación de concentrado bajo manejo de pastoreo muy severo (de 1.5 a 2 kg de leche/kg de MS de concentrado). Esto ya se ha observado con vacas alimentadas con una cantidad limitada de pastura fresca, para determinar la respuesta de la producción de leche al concentrado de suministro según el nivel de alimentación de forraje fresco (Stockdale et al., 1987). Con un alto margen de pastura, la tasa de sustitución alcanza valores cercanos a los observados con vacas alimentadas ad libitum, por ejemplo de 0.5 a 0.6 (Figuras 2 y 3).
Figura 1. Efectos del nivel de suplementación en concentrados y del balance energético de las vacas lecheras antes de la suplementación sobre la tasa de sustitución entre el pasto y el concentrado (revisión de la literatura, Delagarde et al., no publicado).
Figura 2. Relaciones entre la cantidad de pasto ofrecido, el consumo de pasto, la tasa de sustitución y la respuesta en producción de vacas lecheras en pastoreo (revisión de experimentos australianos, adaptado de Stockdale, 2000).
Figura 3. Efectos del nivel de suplementación (0 (˜). 3 (™). 6 (p) y 9 (r) kg MS/ vaca/d) de vacas lecheras en pastoreo con un concentrado energético (A) ó con ensilaje de maíz (B) sobre el consumo de pasto, la tasa de sustitución, la producción de leche y la respuesta en producción, en función de la cantidad ofrecida de pasto (adaptado de Delagarde et al., 2004).

Desde un punto de vista práctico, y debido a que es más fácil en los tambos comerciales medir las alturas de pastos que la asignación de pasturas, es posible relacionar la tasa de sustitución con las variaciones de las alturas de la pastura prepastoreo y postpastoreo. Como la ingesta se determina por la relación entre la altura de la pastura postpastoreo y la de prepastoreo, la tasa de sustitución también se relaciona con esta relación (Figura 4). De manera general, e independientemente de la altura de la pastura, la tasa de sustitución entre pasturas y el concentrado es alta (de 0.5 a 0.6), media (de 0.4 a 0.3) o baja (de 0.1 a 0.2) cuando la altura de la pastura postpastoreo promedia aproximadamente 50%, 40% o 30% de la altura de la misma antes del pastoreo (Figura 4). La altura de la pastura pre o postpastoreo, por si misma, son malos indicadores de la tasa de sustitución, como es el caso de la predicción de la ingesta de pasturas.
Figura 4. Efectos de la intensidad del pastoreo (relación de altura de la pastura pre y postpastoreo) sobre el consumo de pasto de vacas lecheras sin suplementación y sobre la tasa de sustitución pasto/concentrado ó pasto/forraje conservado (adaptado de Delagarde et al., 2006).
3. Rango de equilibrio energético y de nivel de suplementación de concentrado para cumplir con los requisitos de energía para lograr la producción potencial de leche en vacas lecheras en pastoreo
Es posible combinar los requisitos teóricos de energía (aquellos relacionados con la producción potencial de leche) y la capacidad de ingesta de las vacas, así como las características de la calidad de pasturas y el manejo del pastoreo (principalmente la asignación de pasturas) para calcular el balance energético teórico de las vacas lecheras de pastoreo no suplementadas. El mismo varía entre el 65 al 145% de los requisitos en una gran variedad de situaciones de alimentación (Tabla 1). Las vacas lecheras con una producción potencial de 30 kg de leche pueden producir su producción potencial sin ningún concentrado, solo con pasturas de excelente calidad con una alta asignación de forraje, lo que imposibilita la utilización eficiente de las pasturas. Está claro que el aumento de la asignación de pasturas no se puede usar como una herramienta eficiente para reducir la brecha entre los requisitos de energía y el suministro de energía de las pasturas, debido al papel principal de los requisitos de las vacas y la calidad de las pasturas en esta brecha (Tabla 1).
Tabla 1. Balance energético, expresado en porcentaje de los requerimientos teóricos, de vacas lecheras no suplementadas, en función de su peso vivo, de su producción potencial de leche, de la calidad del pasto y de la cantidad ofrecida de pasto (adaptado de Peyraud y Delagarde, 2013).
A partir de las ecuaciones predictivas de la tasa de sustitución y de la respuesta de la leche a los suministros de energía y proteínas (INRA, 2018) y del software correspondiente (https://www.inrationruminal.fr/en/), es posible calcular el nivel de suplementación de concentrado para cumplir con los requisitos de las vacas lecheras para lograr su producción potencial de leche, para cualquier combinación de características de las vacas, la calidad de pasturas y manejo del pastoreo (Tabla 2). De manera similar, es posible simular la respuesta de producción de leche de un rodeo en un amplio rango de niveles de suplementación de concentrado y de intensidad de pastoreo (Figura 3).
Tabla 2. Cantidad de concentrado (kg MS/d) necesaria para cubrir los requerimientos energéticos de vacas lecheras en pastoreo, en función de su peso vivo, de su producción potencial de leche, de la calidad del pasto y de la cantidad ofrecida de pasto (adaptado de Peyraud y Delagarde, 2013).
4. Factores que regulan la tasa de sustitución y la respuesta de la leche de las vacas lecheras en pastoreo suplementadas con forrajes conservados
La tasa de sustitución entre dos forrajes no se ha investigado exhaustivamente. En los sistemas franceses de alimentación del INRA para rumiantes (INRA, 2018), la tasa de sustitución entre dos forrajes conocidos es fija, e igual a la relación entre el valor de relleno (valor lastre) de los dos forrajes. Esto se debe a que la regulación de la ingesta de forrajes está relacionada principalmente con sus propiedades de palatabilidad, concentración de fibra, tasa de degradación ruminal. Como el valor de relleno de los forrajes conservados es generalmente mayor que el de los forrajes frescos, las tasas de sustitución entre el forraje fresco alimentado ad libitum y un forraje conservado son generalmente cercanos o superiores a 1.0, lo que significa una disminución del MS total y la ingesta de energía. En la Tabla 3 se dan algunos ejemplos de tasas de sustitución entre forrajes frescos (ad libitum) y conservados (suplementos).
En el pastoreo, las vacas no siempre son alimentadas ad libitum, y el nivel de alimentación es incluso más bajo si la intensidad de pastoreo es alta. Esto explica por qué la regulación de la ingesta difiere entre situaciones donde las vacas se encuentran estabuladas (siempre ad libitum) y de pastoreo (no siempre ad libitum), y por qué la tasa de sustitución entre los forrajes puede disminuir al disminuir la asignación de pasturas. El rango de variación de la tasa de sustitución entre pasturas consumidas y los forrajes conservados es tan grande como la tasa de sustitución entre las pasturas consumidas y el concentrado, pero los valores absolutos son mucho mayores debido a la concentración mucho mayor de fibra y al efecto de relleno de los forrajes conservados en comparación con los concentrados (Tabla 3). Como ejemplo, el rango de tasa de sustitución entre pasturas consumidas y el suplemento de ensilaje de maíz, de acuerdo con el nivel de suplementación y la asignación de pasturas, se presenta en la Figura 2. Esta tasa de sustitución varía de 0.5 a 1.0 entre la asignación de pasturas baja a alta. Como consecuencia, la respuesta de la producción de leche a la suplementación con ensilaje de maíz es muy baja, y casi cero en promedio, como se observa en los establecimientos (Chénais et al., 1997). Puede ser positivo (de 0.4 a 0.8 kg de leche/kg MS de ensilaje de maíz) en condiciones de pastoreo muy severos, pero negativo (de 0.2 a 0.4 kg de leche/kg de MS de ensilaje de maíz) en condiciones de pastoreo laxos, debido a una tasa de sustitución superior a 1.0 y a una disminución de la concentración de energía en la dieta.
Tabla 3. Ejemplos de tasa de sustitución entre un forraje verde de calidad ad libitum (digestibilidad MO : 0.77; valor lastre : 1.0 UL/kg MS) y varios forrajes conservados ofrecidos, en vacas lecheras estabuladas (INRA, 2018).
Desde un punto de vista práctico, y de manera similar a la suplementación concentrada, la tasa de sustitución puede estar relacionada con las variaciones de alturas prepastoreo y postpastoreo. Independientemente de la altura de la pastura antes del pastoreo, la tasa de sustitución entre pasturas y el ensilaje de maíz es alta (1.0), media (de 0.9 a 0.8) o baja (0.7) cuando la altura de la pastura postpastoreo promedia aproximadamente el 50%, 40% o 30% de la altura prepastoreo (figura 4).
Una revisión reciente de la literatura muestra que la tasa de sustitución depende de cómo se comparan los tratamientos complementarios (Miguel et al., 2016; Figura 5). Históricamente, dos niveles suplementarios se comparan “todas las demás cosas han sido iguales”, lo que significa generalmente en el mismo nivel de asignación de pasturas. Sin embargo, en ese caso, las vacas suplementadas comieron menos pasturas que las no suplementadas, lo que llevó a una mayor altura de la pastura postpastoreo en el grupo suplementado. Por lo tanto, cuando la asignación de pasturas es igual entre los niveles suplementarios, la altura de la pastura después del pastoreo es diferente, lo que está lejos de la práctica de los tamberos, que quieren manejar el pastoreo y la altura postpastoreo. Por lo tanto, se realizaron otros experimentos con una mayor tasa de repoblación (o una asignación de pasturas más baja) para el grupo suplementado en comparación con el grupo de vacas no suplementado, para lograr, si es posible, una altura de la pastura postpastoreo similar entre los niveles suplementarios. Esta disminución de la asignación de pastura conduce a una reducción adicional de la ingesta para las vacas suplementadas, lo que reduce artificialmente la tasa de sustitución a través del cálculo. La consecuencia es también una reducción de la respuesta de la producción de leche. Finalmente, se puede concluir que en la práctica, en los establecimientos comerciales donde el pastoreo se gestiona más a través de la altura de la pastura postpastoreo que a través de la asignación de pasturas, la tasa de sustitución siempre es alta y la respuesta de la producción de leche a la suplementación siempre es baja (Miguel, 2016; Figura 5).
Esta revisión de la literatura también sugiere que, en una asignación similar de pasturas, la tasa de sustitución es menor para el maíz o el ensilaje de pasturas que para el heno (0.36 y 0.31 contra 0.51 en promedio, respectivamente) (Miguel et al., 2016). La tasa de sustitución aumenta en promedio en 0.018 por kg de MS de la asignación de pasto y parece no verse afectada por el nivel de suplementación de forraje. En la misma base de datos, la respuesta de producción de leche promedia 0.41, y es mayor para el ensilaje de maíz que para el ensilaje de pastura y el heno (0.53, 0.30, 0.22, respectivamente), que es consistente con el valor de relleno de estos forrajes (Tabla 3). En promedio, cualquier aumento en la tasa de sustitución de 0.1 disminuye la respuesta de la producción de leche en 0.06 kg de leche/ kg de MS de forraje. El forraje más efectivo para aumentar la producción de leche parece ser el ensilaje de maíz, probablemente debido a su valor de llenado más bajo y su mayor concentración de energía.
Figura 5. Relación entre la respuesta en producción (kg de leche/kg MS) y la tasa de sustitución pasto/ forraje en vacas lecheras en pastoreo cuando el suplemento de forraje es distribuido a misma cantidad de pasto ofrecido (Δ) ó a misma altura de pasto postpastoreo (˜) que para las vacas no suplementadas.
Finalmente, la tabla 4 resume el rango de tasas de sustitución esperadas según el tipo de suplemento y la intensidad del manejo de pastoreo por parte del tambero. Estos valores pueden aumentar o disminuir según la producción potencial de leche de las vacas y la calidad de pasturas, como se describe en el capítulo 1.
CONCLUSIÓN
El pastoreo de vacas lecheras a menudo se complementa con concentrados y/o forrajes conservados. Estos dos tipos de suplementos son realmente diferentes en términos de regulación de la ingesta y en términos de respuesta a la producción de leche. Los concentrados deben usarse principalmente para aumentar la producción de leche por vaca (y, por lo tanto, por hectárea), porque la tasa de sustitución promedio entre pasturas y el concentrado es cercana a 0.3 en condiciones de pastoreo bien manejadas, lo que lleva a una respuesta de producción de leche cercana a 1.0 kg de leche por kg de concentrado. La tasa de sustitución y la respuesta de la producción de leche siempre están correlacionadas negativamente y dependen en gran medida de la intensidad del pastoreo. No hay una recomendación clara sobre el nivel de suplementación de concentrado porque los aspectos económicos deben considerarse además de los aspectos nutricionales. Por ejemplo, a menudo es posible manejar las vacas en pastoreo sin ningún tipo de suplementación durante varios meses porque las pasturas vegetativas solo pueden considerarse una dieta completa en términos de energía, proteínas y minerales. Por otra parte, la suplementación de vacas lecheras en pastoreo con un forraje conservado, incluso de buena calidad, tiene muy pocos efectos sobre la ingesta total de MS y la producción de leche, debido a que la tasa de sustitución suele ser cercana a 1.0 en la práctica, lo que lleva a ningún aumento en la producción de leche, o incluso a una disminución de la producción de leche, excepto si la intensidad del pastoreo es muy severo. Por lo tanto, los forrajes conservados se deben alimentar a las vacas lecheras en pastoreo solo cuando existe escasez de pastura a nivel de establecimiento, debido a un área de pastoreo total demasiado pequeña o cuando la tasa de crecimiento de los pastos es baja, por ejemplo. En todos los casos, y cualquiera que sea el nivel de suplementación, se requiere un manejo eficiente del pastoreo para maximizar la eficiencia del uso del pasto a nivel de establecimiento y año, que es la base para el éxito técnico y económico del sistema de pastoreo.
Tabla 4. Valores promedios de la tasa de substitución (kg MS/kg MS) entre el pasto y diferentes tipos de suplementos en función de la intensidad del manejo para vacas lecheras en pastoreo (Delagarde, 2019, este congreso)