Resumen
La contaminación de los alimentos destinados a consumo animal con aflatoxinas es frecuente, por lo que una estrategia para reducir los riesgos a la salud humana y animal es el uso de adsorbentes de micotoxinas.
Introducción
La presencia de micotoxinas en las explotaciones pecuarias, metabolitos secundarios producidos por hongos, está asociada con importantes pérdidas económicas. La exposición a estas sustancias a través de los alimentos ocasiona alteraciones en diversos parámetros productivos, reproductivos e inmunológicos, comprometiendo la capacidad de repuesta de los animales a diversos microorganismos causantes de enfermedades. Así mismo, constituyen factores que comprometen la salud humana al consumir productos de origen animal expuestos a micotoxinas con el potencial riesgo de efectos mutagénicos, teratogénicos y carcinogénicos. Las aflatoxinas comprenden un grupo de micotoxinas de las cuales aflatoxina B1 (AFB1) ha sido estudiada en mayor detalle. Estas micotoxinas son producidas principalmente por Aspergillus flavus y A. parasiticus con elevada frecuencia de presentación en diversas materias primas que componen los alimentos (principalmente granos). Cuando animales productores de leche consumen alimento contaminado con AFB1, este tóxico es transformado principalmente en el hígado en AFM1 y eliminado en la leche, por lo cual, el consumo de leche contaminada con AFM1 representa un riesgo a la salud de los consumidores y en especial a la población infantil (Phillips et al., 2008). En México, el nivel máximo permitido de AFB1 y AFM1 es de 20 µg/kg de alimento y 0.5 µg/L de leche, respectivamente (NOM 188 SAA1 2002 y NOM 184 SAA1 2002). Durante las últimas décadas, el uso de adsorbentes para micotoxinas incluidos en la ración de los animales, ha recibido considerable interés por parte de la comunidad científica ya que en diversos estudios in vitro y en animales monogástricos, los adsorbentes han demostrado su capacidad para unirse a micotoxinas en el tracto gastrointestinal, impedir su absorción y propiciar su eliminación junto con las heces (Huwig et al., 2001).
Con el objetivo de evaluar la eficiencia de los adsorbentes Quitaflax-Zeo y derivados de paredes celulares de levaduras (MOSC) para reducir la presencia de aflatoxina M1 (AFM1) en la leche, se realizó un estudio experimental con vacas utilizando raciones contaminadas artificialmente con aflatoxina B1 (AFB1) en el Centro de Biotecnología Animal, Rancho Cofradía ubicado en el km 7.5 de la carretera a San Isidro Mazatepec, Municipio de Tlajomulco de Zúñiga, Jalisco y en el laboratorio de micotoxinas del Departamento de Salud pública del CUCBA, ambas dependencias de la Universidad de Guadalajara.
Materiales y MétodosSe seleccionaron vacas pertenecientes a la raza Holstein considerando el número de lactaciones (promedio = 2), producción de leche (promedio = 27.9 ± 2.8 kg/día), días en leche (promedio = 220 ± 20), edad (promedio = 3.2 ± 0.5 años) y condición corporal (promedio = 2.7 ± 0.2). Los animales fueron ubicados en un corral de 60 m2 dentro del establo del Rancho Cofradía con capacidad para 4 vacas. Dispusieron de agua a libre acceso y comederos tipo pileta. Se suministró 22 Kg de alimento en base seca por día, de los cuales 9 kg fueron concentrado a base de sorgo/maíz, pastas de oleaginosas y núcleo lechero (40% de la dieta). El forraje fue principalmente ensilado de maíz y alfalfa deshidratada. Esta formulación alcanzó los requerimientos mínimos especificados por el NRC (2001).
Diseño experimental.Se utilizó un diseño de bloques o periodos con un grupo experimental (4 animales) que cursaron 3 períodos (tratamientos) de 11 días cada uno. La prueba se inició con el bloque 1 o Testigo, para continuar sucesivamente con los bloques 2 (adsorbente Quitaflax-Zeo) y 3 (Adsorbente MOSC). Cada periodo de 11 días se subdividió en dos sub-periodos (subA y subB). En los primeros 6 días (subA) los animales fueron alimentados con dieta libre de AFB1, e incluyeron el adsorbente correspondiente a cada tratamiento excepto por el grupo testigo (sin adsorbente). El subA permitió monitorear la presencia de AFM1 previa exposición a AFB1. Durante el subB (duración 5 días) todos los grupos fueron alimentados con la formulación AFB1 + adsorbente, excepto el testigo el cual sólo recibió AFB1. Tanto aflatoxina B1 (AFB1) como los adsorbentes Quitaflax-Zeo y MOSC se mezclaron primeramente en el concentrado y luego se integraron al ensilado de maíz para componer una ración totalmente mezclada (RTM). Los animales fueron expuestos a 40 µg/Kg de AFB1 (el doble del nivel permitido por la NOM), la cual fue producida en arroz, a partir de la cepa
A. parasiticus NRRL2999, cuantificada por cromatografia de capa fina y, posteriormente, confirmada por HPLC. Antes de comenzar la prueba y durante la misma, la ración fue analizada para detectar el nivel de AFB1 presente de manera natural. Los adsorbentes utilizados fueron QuitaFlax-Zeo (40 g /cabeza/día) y extractos de cultivos de levaduras (MOSC, 15 g /cabeza/día,) incluidos en la ración según las recomendaciones del proveedor.
Determinaciones analíticas.
Durante los días 6, 10 y 11 de cada período, se recolectaron 3 L de la leche de la mañana y 3 L por la tarde, correspondientes a cada animal. Se obtuvo una muestra compuesta, a partir de la cual se determinó la presencia de AFM1 por cromatografía líquida (HPLC) según el método AOAC2000.08. Por otra parte, se evaluó la producción de leche y calidad de la misma, realizándose los análisis para determinar el contenido de proteína, grasa, sólidos no grasos y sólidos totales por el método de IR. La detección y cuantificación de las AFB1 fue realizada por HPLC según la metodología AOAC 2003.02 y 994.08. Los resultados de la detección de AFM1 y calidad de leche fueron analizados utilizando ANOVA. La determinación de las diferencias entre tratamientos se realizó mediante prueba de Tukey (p< 0.05). Se utilizó el paquete estadístico Sigma STAT v3.1 para Windows.
Resultados
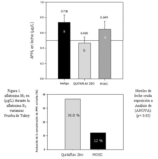
La presencia natural de AFB1 en el alimento antes de utilizar la RTM contaminada artificialmente fue de 2.5 ± 1.5 µg/kg. La presencia de AFM1 en leche antes de iniciar la prueba o durante el subA (sin exposición a AFB1) fue de 0.028 ± 0.002 µg/L o no detectado (< 0.02 µg/L). Los niveles de AFM1 en leche del grupo testigo que no recibió ningún adsorbente y solo incluyó AFB1 fueron de 0.736 ± 0.096 µg/L, mientras que los niveles para los grupos que recibieron Quitaflax-Zeo y adsorbente MOSC fueron de 0.465 ± 0.081 µg/L y 0.649 ± 0.100 µg/L, respectivamente (Figura 1). Los resultados permitieron observar diferencias estadísticas entre tratamientos (p< 0.05). El porcentaje de reducción de AFM1 en los grupos que incluyeron adsorbentes fue de 36.8% y 12%, respectivamente (Figura 2). El adsorbente Quitaflax-Zeo mostró mayor eficiencia en la disminución de los niveles de AFM1 en leche que el adsorbente MOSC. La producción promedio de leche observada en los grupos no presentó diferencias estadísticas entre tratamientos (rango 23.8 - 25.4 kg/d). En cuanto a los parámetros de calidad, la comparación estadística demostró que no existieron diferencias estadísticas entre grupos o tratamientos (p> 0.05), lo cual indica que la inclusión de adsorbentes de la ración, así como la exposición a concentraciones de 40 μg/kg de AFB1 no altera la producción ni la calidad de la leche.
El método artificial de exposición a AFB1 utilizado en este trabajo demostró resultados de AFM1 en leche similares a los estudios con dietas naturalmente contaminadas con aflatoxinas (Diaz
et al., 2004; Stroud
et al., 2006). Otros estudios que estiman los niveles de AFM1 en leche de acuerdo a modelos matemáticos permitieron comparar los resultados del presente estudio y confirmar la validez de los mismos (Van Eijkeren
et al., 2006). Díaz
et al. (2004) realizaron una experiencia utilizando los adsorbentes bentonita de sodio (1.2%), bentonita de calcio (1.2%), glucomananos de levaduras (0.05%) y carbón activado (0.25%). Los resultados permitieron observar reducción estadística (
p <0.01) de los niveles de AFM1 en leche, a excepción del carbón activado. Así mismo, Stroud
et al. (2006), evaluó la inclusión de bentonitas de sodio comparativamente con glucomananos derivados de la levadura
S. cereviseae. Se destaca que ambos adsorbentes se agregaron al 0.5% en base a la materia seca en raciones contaminadas con 170 μg/kg de AFB1. Se encontró reducción significativa en los niveles de AFM1 en la leche para los grupos que recibieron bentonitas de sodio. Así mismo, los glucomananos derivados de levaduras no mostraron eficiencia en la reducción de los niveles de AFM1.
ConclusionesLa inclusión de Quitaflax-Zeo en las raciones redujo el nivel de AFM1 en leche de manera estadísticamente significativa. EL producto Quitaflax-Zeo demostró mayor eficiencia que el adsorbente MOSC para reducir los niveles de AFM1 en leche. El nivel de producción y los parámetros de calidad de leche no fueron afectados por la inclusión de los adsorbentes en la ración de los animales de acuerdo a las condiciones experimentales empleadas y el nivel de exposición a AFB1.

Figura 2. Reducción de la concentración de AFM1 en leche (%)
Referencias
- Diaz DE, Hagler Jr WH, Blackwelder JT, Eve JA, Hopkins BA, Anderson KL, Jones FT, Whitlow LW. 2004. Aflatoxin Binders II: Reduction of aflatoxin M1 in milk by sequestering agents of cows consuming aflatoxin in feed. Mycopathologia 157: 233–241.
- Huwig A, Freimund S, Kappeli O, Dutler H. 2001. Mycotoxin detoxification of animal feed by different adsorbents. Toxicology Letters 122: 179–188.
- Norma Oficial Mexicana NOM-184-SSA1-2002. Productos y servicios. Leche, formula láctea y producto lácteo combinado. Especificaciones sanitarias.
- Norma Oficial Mexicana NOM-188-SSA1-2002. Producto y servicios. Control de aflatoxinas en cereales para consumo humano y animal. Especificaciones sanitarias.
- NRC. 2001. Nutrient requirement of dairy cattle. 7th rev. ed. National Research Council, Washington, DC.: National Academy.
- Phillips TD, Afriyie-Gyawu E, Williams J, Huebner H, Ankrah NA, Ofori-Adjei D, Jolly P, Johnson N, Taylor J, Marroquin-Cardona A, Xu L, Tang L, Wang JS. 2008. Reducing human exposure to aflatoxin through the use of clay: A review. Food Additives and Contaminants 25(2):134-145.
- Stroud JS. 2006. The effect of additives on aflatoxin in milk of dairy cows fed aflatoxin-contaminated diets. North Carolina State University, Thesis Master of Science in Animal Science and Nutrition, pp. 23-29.
- Van Eijkeren JCH, Bakker MI, Zeilmaker MJ. 2006. A simple steady-state model for carry-over of aflatoxins from feed to cow’s milk. Food Additives and Contaminants 23:833-838.